logo

Crowdly

Browser

Add to Chrome

Аналіз даних на Python

Looking for Аналіз даних на Python test answers and solutions? Browse our comprehensive collection of verified answers for Аналіз даних на Python at exam.nuwm.edu.ua.

Get instant access to accurate answers and detailed explanations for your course questions. Our community-driven platform helps students succeed!

У процесі навчання нейронної мережі змінюються

View this question

Вираз дозволяє знайти:

View this question

Навчання учителем передбачає

View this question

Параметри рівняння лінійної регресії дорівнюють 3.6 та 5.8, а їх похибки дорівнюють 3.0 та 2.0. Чи можна вважати статистично значущими параметри рівняння регресії на рівні надійності 95%?

View this question

Для навчання нейронної мережі використовують

0%
0%
0%
0%
View this question

Наступний графік відображає

0%
0%
0%
0%
0%
View this question

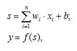
В аналітичному виразі

y – це?

View this question

По завершенні навчання мережі

View this question

Елементи матриці помилок бінарної класифікації мають наступні значення: TN = 80, FN = 5, FP = 3, TP = 12. Значення чутливості дорівнює

0%
0%
0%
0%
View this question

Завелике значення кроку може привести до

View this question

Want instant access to all verified answers on exam.nuwm.edu.ua?

Get Unlimited Answers To Exam Questions - Install Crowdly Extension Now!

Browser

Add to Chrome