logo

Crowdly

Browser

Add to Chrome

Аналіз даних на Python

Looking for Аналіз даних на Python test answers and solutions? Browse our comprehensive collection of verified answers for Аналіз даних на Python at exam.nuwm.edu.ua.

Get instant access to accurate answers and detailed explanations for your course questions. Our community-driven platform helps students succeed!

Специфічність бінарного класифікатора визначає

0%
0%
0%
0%
0%
View this question

Аналізуючи наступну кореляційну матрицю, робимо висновок, що фактор О5 чинить:

View this question

Формула SP = TN / (FP + TN) визначає

View this question

При навчанні без учителя

View this question

Кількість даних у наборі 100 зразків. При перехресній перевірці методом Holdout обсяг контрольної вибірки

0%
0%
0%
0%
View this question

Мінімізація похибки у алгоритмі зворотного поширення помилки відбувається згідно із

View this question

Ідея методу опорних векторів наступна

0%
0%
0%
0%
0%
View this question

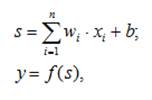
В аналітичному виразі

b – це?

View this question

Нейромережа зворотного поширення помилки

0%
0%
0%
0%
0%
View this question

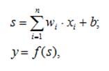
В аналітичному виразі

f(s) – це?

View this question

Want instant access to all verified answers on exam.nuwm.edu.ua?

Get Unlimited Answers To Exam Questions - Install Crowdly Extension Now!

Browser

Add to Chrome