logo

Crowdly

Browser

Add to Chrome

Опір матеріалів

Looking for Опір матеріалів test answers and solutions? Browse our comprehensive collection of verified answers for Опір матеріалів at exam.nuwm.edu.ua.

Get instant access to accurate answers and detailed explanations for your course questions. Our community-driven platform helps students succeed!

Яке значення має коефіцієнт Пуассона для сталі?

View this question

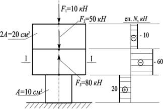
Яка із епюр поздовжніх сил (еп. N) для заданого бруса є правильною?

View this question

Обчислити величину нормальної напруги ( , МПа) в перерізі бруса І-І

View this question

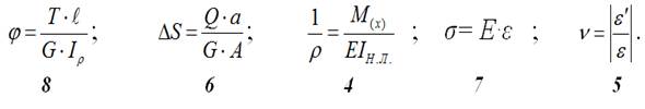
Як називається добуток ?

View this question

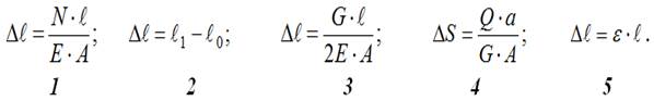
Яка з наведених формул є законом Гука при центральному розтягу (стиску)?

0%
0%
0%
0%
0%
View this question

За якою формулою визначають абсолютне видовження бруса від дії його власної ваги?

View this question

Як визначають абсолютне видовження бруса від дії його власної ваги?

View this question

Чому дорівнює коефіцієнт Пуассона для сталі?

View this question

Поздовжня сила ( ) в поперечному перерізі бруса при центральному розтягу ( стиску ) дорівнює?

0%
0%
0%
0%
0%
View this question

Яка із величин є характеристикою пластичності матеріалу?

View this question

Want instant access to all verified answers on exam.nuwm.edu.ua?

Get Unlimited Answers To Exam Questions - Install Crowdly Extension Now!

Browser

Add to Chrome