logo

Crowdly

Browser

Add to Chrome

Опір матеріалів

Looking for Опір матеріалів test answers and solutions? Browse our comprehensive collection of verified answers for Опір матеріалів at exam.nuwm.edu.ua.

Get instant access to accurate answers and detailed explanations for your course questions. Our community-driven platform helps students succeed!

Чому дорівнює величина поздовжньої сили ( N ) в поперечному перерізі бруса при центральному розтягу ( стиску )?

View this question

Запроектувати поперечний переріз балки в вигляді прокатного двотавра, якщо

View this question

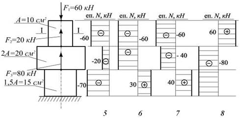
Вказати правильну епюру поздовжніх сил (еп. N) для заданого бруса

View this question

Якою є величина допустимого нормального напруження для сталі марки Ст3 (в МПа)?

View this question

Яка із точок на діаграмі розтягу зразка з маловуглецевої сталі відповідає границі текучості матеріалу ()?

View this question

Чому дорівнює поперечна сила в перерізі II-- II ?

View this question

Яка з наведених епюр нормальних напруг правильна для двотаврового перерізу балки?

View this question

Як змінюється довжина зразка при його розтяганні?

View this question

Вказати правильну епюру поздовжніх сил (еп. N) для заданого бруса

View this question

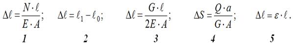
Як визначають абсолютне видовження бруса від дії його власної ваги?

View this question

Want instant access to all verified answers on exam.nuwm.edu.ua?

Get Unlimited Answers To Exam Questions - Install Crowdly Extension Now!

Browser

Add to Chrome