logo

Crowdly

Browser

Add to Chrome

Опір матеріалів

Looking for Опір матеріалів test answers and solutions? Browse our comprehensive collection of verified answers for Опір матеріалів at exam.nuwm.edu.ua.

Get instant access to accurate answers and detailed explanations for your course questions. Our community-driven platform helps students succeed!

Яка розмірність модуля пружності матеріалу ( )?

View this question

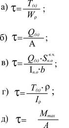
Вказати правильну епюру поздовжніх сил (еп. N) для заданого бруса

View this question

Вкажіть епюру поперечних сил для балки

View this question

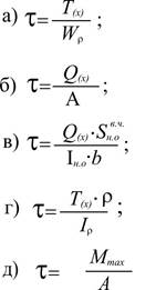
За якою формулою визначається дотична напруга при згині балки?

View this question

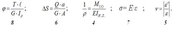
Вкажіть відповідність позначень…

View this question

За якою формулою визначається осьовий момент опору круглого перерізу балки?

View this question

Згідно якої формули визначаються дотичні напруги при згині балки?

View this question

Яка з наведених формул є законом Гука при центральному розтягу (стиску)?

View this question

Вкажіть формулу для максимальних нормальних напруг в балці при згині?

View this question

Яка точка на діаграмі розтягу зразка з маловуглецевої сталі відповідає моменту розриву () ?

View this question

Want instant access to all verified answers on exam.nuwm.edu.ua?

Get Unlimited Answers To Exam Questions - Install Crowdly Extension Now!

Browser

Add to Chrome