logo

Crowdly

Browser

Add to Chrome

Material Teknik D (Gasal TA 2025/2026)

Looking for Material Teknik D (Gasal TA 2025/2026) test answers and solutions? Browse our comprehensive collection of verified answers for Material Teknik D (Gasal TA 2025/2026) at kuliah.uajy.ac.id.

Get instant access to accurate answers and detailed explanations for your course questions. Our community-driven platform helps students succeed!

Komposisi berat paduan yang terdiri 215,0 kg Besi, 15,6 kg Alumunium, dan 10,7 kg Karbon adalah ___
0%
0%
0%
0%
0%
0%
0%
View this question

Berikut ini termasuk kelebihan polymer secara umum, kecuali: 

0%
0%
0%
0%
View this question

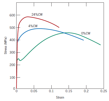
Dari gambar dapat diperoleh informasi:
0%
0%
0%
0%
0%
0%
0%
View this question

Berdasarkan data pada gambar, dapat disimpulkan _____
0%
0%
0%
0%
0%
0%
0%
View this question

Faktor yang mempengaruhi stabilitas struktur kristal material keramik dengan ikatan ion adalah:

0%
0%
0%
0%
View this question
Spesimen uji tarik dari bahan Titanium berbentuk silinder dengan diameter awal 3,7 mm ditarik dengan gaya 20000 N pada daerah elastis. Modulus elastis benda uji sebesar 107 GPa. Besar regangan yang terjadi ____
0%
0%
0%
0%
0%
0%
0%
View this question
Pemurnian gas Hidrogen menggunakan proses difusi melalui plat Paladium. Diketahui difusi pada kondisi tunak, tebal pelat Paladium 2.5 mm dan luas daerah difusi 0,40 m2 pada suhu 500 oC, koefisien difusi 1,0 E-8 m2/s, konsentrasi tinggi dan rendah 2,5 kg Hidrogen dan 0,5 kg Hidrogen per meter kubik Paladium, banyaknya Hidrogen yang lewat melalui pelat adalah _____
0%
0%
0%
0%
0%
0%
0%
View this question

Suatu benda mengalami beban tarik sebesar 20 kN pada luas penampang berdiameter 10 mm. Material yang dapat digunakan adalah ___
0%
0%
0%
0%
0%
0%
0%
View this question

Dari informasi pada gambar dapat disimpulkan ___
0%
0%
0%
0%
0%
0%
0%
View this question

Dari informasi pada gambar/tabel, dapat disimpulkan ___
0%
0%
0%
0%
0%
0%
0%
View this question

Want instant access to all verified answers on kuliah.uajy.ac.id?

Get Unlimited Answers To Exam Questions - Install Crowdly Extension Now!

Browser

Add to Chrome