logo

Crowdly

Browser

Add to Chrome

(ALT) Traitement du signal (MAEISI360124)

Looking for (ALT) Traitement du signal (MAEISI360124) test answers and solutions? Browse our comprehensive collection of verified answers for (ALT) Traitement du signal (MAEISI360124) at learning.devinci.fr.

Get instant access to accurate answers and detailed explanations for your course questions. Our community-driven platform helps students succeed!

On peut affirmer que ce signal est périodique

0%
0%
View this question

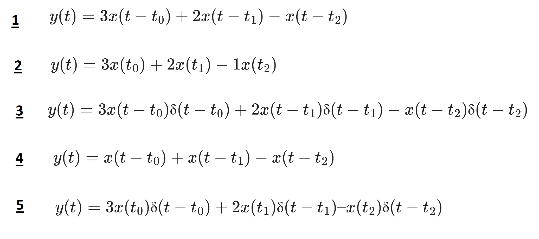
Un signal x(t) est filtré par un filtre de réponse

impulsionnelle h(t) :

h(t)=3δ(t-t0) + 2δ(tt1 ) δ(tt2)

Choisir parmi ces réponses la réponse du filtre :

0%
0%
0%
0%
0%
0%
View this question

on considère le filtre donné par l'équation aux différences suivante:

On peut affirmer que ce filtre de type

0%
100%
0%
0%
0%
0%
View this question

Représentez l’équivalent numérique de ce signal et donnez

son expression mathématique pour T=6s.

View this question

Donnez l'expression mathématique de ce signal dans le domaine fréquentiel

 pour

T=1s.

View this question

 on considère le signal x(t) à support borné sur [-1 3]. x(t) est représenté par la figure suivante:

La transformée de Fourier de x(t) est X(f). Sans calculer explicitement X(f), la valeur de X(f) pour f=0: X(0) est

0%
0%
0%
0%
0%
0%
0%
View this question

On peut dire du filtre numérique caractérisé par l’équation de récurrence :

0%
100%
100%
View this question

Ce signal x(t) :

Capture4.PNG
100%
100%
0%
0%
View this question

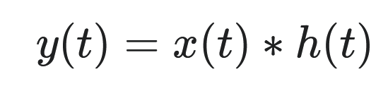
Un signal x(t) est filtré par un filtre de réponse

impulsionnelle h(t).

On peut affirmer que:

100%
0%
0%
0%
View this question

Un signal analogique x(t) dont le spectre est représenté ci-dessous est

échantillonné avec 3 fréquences fe différentes :  7,5 KHz        10 KHz 

  et  15 KHz

0%
100%
0%
View this question

Want instant access to all verified answers on learning.devinci.fr?

Get Unlimited Answers To Exam Questions - Install Crowdly Extension Now!

Browser

Add to Chrome