logo

Crowdly

Browser

Add to Chrome

FIT1008-FIT2085 Fundamentals of algorithms - S1 2025

Looking for FIT1008-FIT2085 Fundamentals of algorithms - S1 2025 test answers and solutions? Browse our comprehensive collection of verified answers for FIT1008-FIT2085 Fundamentals of algorithms - S1 2025 at learning.monash.edu.

Get instant access to accurate answers and detailed explanations for your course questions. Our community-driven platform helps students succeed!

I want to construct a Max Heap from an unsorted list. What's the best-case time complexity? You can assume

n is the number of elements in the list.

0%
0%
0%
0%
View this question

For the sink operation on a Max Heap, is the best-case time complexity the same as the worst-case time complexity?

0%
0%
View this question

A Priority Queue could be implemented efficiently using an unbalanced Binary Search Tree?

0%
100%
View this question

I want to construct a Max Heap from a sorted list. What's the best-case time complexity? You can assume n is the number of elements in the list.

100%
0%
0%
0%
View this question

I want to implement a Priority Queue using the following Max Heap:

[None, 33, 27, 23, 7, 15, 18, 21, 6, 2, 3, 1, 8]

What should be the state of the heap after I serve an element from the queue?

33%
33%
33%
0%
View this question

I have decided to use a balanced Binary Search Tree (BST) to implement Separate Chaining in a Hash Table. What is the complexity of updating an item in such a hash table?

O(hash) - complexity of the hash function

n - the largest number of items in a bucket

m - the number of slots in the hash table

O(comp) - the cost of key comparison

View this question

I have decided to use a balanced Binary Search Tree (BST) to implement Separate Chaining in a Hash Table. What is the complexity of adding a new item in such a hash table?

O(hash) - complexity of the hash function

n - the largest number of items in a bucket

m - the number of slots in the hash table

O(comp) - the cost of key comparison

0%
0%
0%
100%
View this question

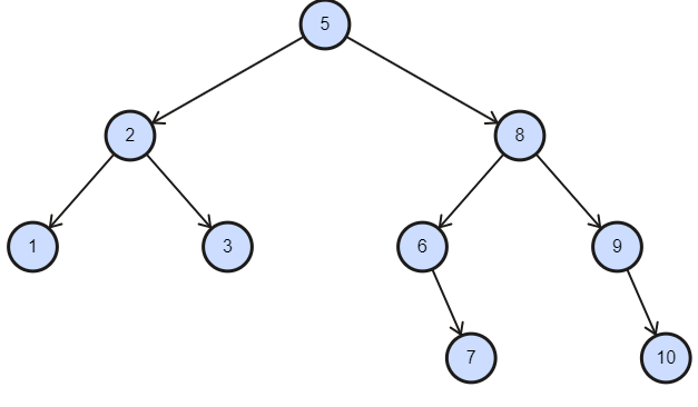
Provide the result of post-order traversal of the following Binary Search Tree (BST) as a sequence of nodes.

0%
100%
0%
0%
View this question

I want to generate a balanced BST from a list with numbers from 1 to 10 inclusive (in ascending order) and apply no self-balancing. To do that, what order should I insert items in?

0%
0%
0%
0%
View this question

What is the worst-case time complexity for deleting a node from a Binary Search Tree (BST)? You can assume there are n nodes in the BST.

0%
0%
0%
0%
View this question

Want instant access to all verified answers on learning.monash.edu?

Get Unlimited Answers To Exam Questions - Install Crowdly Extension Now!

Browser

Add to Chrome