logo

Crowdly

Browser

Add to Chrome

FIT1008-FIT2085 Fundamentals of algorithms - S1 2025

Looking for FIT1008-FIT2085 Fundamentals of algorithms - S1 2025 test answers and solutions? Browse our comprehensive collection of verified answers for FIT1008-FIT2085 Fundamentals of algorithms - S1 2025 at learning.monash.edu.

Get instant access to accurate answers and detailed explanations for your course questions. Our community-driven platform helps students succeed!

I have decided to use a balanced Binary Search Tree (BST) to implement Separate Chaining in a Hash Table. What is the complexity of searching for an item in such a hash table?

O(hash) - complexity of the hash function

n - the largest number of items in a bucket

m - the number of slots in the hash table

O(comp) - the cost of key comparison

0%
0%
0%
100%
View this question

I want to generate a balanced BST from a list with numbers from 1 to 10 inclusive and apply no self-balancing. To do that, what order should I insert items in?

0%
67%
100%
33%
View this question

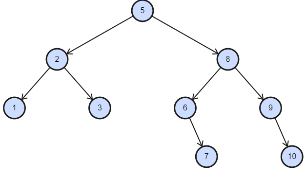
Provide the result of pre-order traversal of the following Binary Search Tree (BST) as a sequence of nodes.

100%
0%
0%
0%
View this question

When deleting a node from a Binary Search Tree (BST), the worst case of this operation occurs when we try to remove the root node of the tree.

0%
0%
View this question

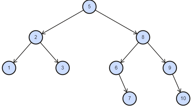
Provide the result of in-order traversal of the following Binary Search Tree (BST) as a sequence of nodes.

0%
0%
0%
100%
View this question

Assume we have the following list: [10, 9, 3, 4, 2, 5and we select 3 to be the pivot. What would the list be after one iteration of quicksort? 

You should use the partition algorithm discussed in the pre-reading.

0%
0%
0%
0%
View this question

You have decided to use Quicksort to sort a list. What benefits will you have over MergeSort?

0%
0%
0%
0%
View this question
We are trying to optimise the pivot selection of the Quicksort algorithm. For our pivot choice, we are using an algorithm to find the median of an unsorted list. The algorithm we opt to use for this takes O(nlogn) time, where n is the size of the list we are partitioning. What would the overall worse-case time complexity of this implementation of Quicksort be?
View this question

Is Mergesort a stable sorting algorithm?

0%
0%
View this question

You have decided to use Mergesort to sort a list. What benefits will you have over Quicksort?

67%
100%
0%
100%
View this question

Want instant access to all verified answers on learning.monash.edu?

Get Unlimited Answers To Exam Questions - Install Crowdly Extension Now!

Browser

Add to Chrome