logo

Crowdly

Browser

Add to Chrome

CHM1022 - Chemistry II - S2 2025

Looking for CHM1022 - Chemistry II - S2 2025 test answers and solutions? Browse our comprehensive collection of verified answers for CHM1022 - Chemistry II - S2 2025 at learning.monash.edu.

Get instant access to accurate answers and detailed explanations for your course questions. Our community-driven platform helps students succeed!

Which of the following is a neutral (uncharged) ligand?

View this question

Why does the colour of a solution change from yellow chromate ( [CrO4​]2−) to orange dichromate 

( [Cr2​O7​]2−) when acid is added?

2[CrO4]2-​(aq) + 2H+ (aq) ⇌ [Cr2O7]2-​ (aq) +H2​O (aq)

a. The equilibrium shifts from chromate to dichromate.

b. The colour change is due to an increase in the concentration of dichromate ions.

c. It is caused by a change in the oxidation state of chromium (redox reaction).

d. Both (a) and (b)

0%
0%
0%
0%
View this question

As the oxidation state of chromium increases from +2 to +3 and +6, which of the following trends is correct?

a. Ionisation energy decreases and basicity increases

b. Ionisation energy increases and acidity increases

c. Ionisation energy decreases and acidity decreases

d. Ionisation energy increases and basicity increases

View this question

The dichromate [Cr2O7]2- oxoanion,  has an oxidation state Cr6+,  gets reduced in acidic media to form Cr3+.

                                                                 Cr2​O72− (aq) + 14H+ (aq) + 6e−  ⟶  2Cr3+  (aq) + 7H2​O (l)

Which statement best describes the role of [Cr2O7]2- in acidic medium?

a. It is reduced and acts as an oxidising agent.

b. It is reduced and acts as a reducing agent.

c. It is oxidised and acts as an oxidising agent.

d. It is oxidised and acts as a reducing agent.

View this question

Laboratory Notes

Upload a single PDF file of your scanned laboratory notes. 

Generally, your lab notes should contain the following:

  • Name and student ID recorded.

  • Experiment title and date recorded.

  • Notes are written in pen.

  • Method recorded in brief, including changes to experimental variables/conditions (if applicable).

  • All results, data, and observations are recorded, and are neat and legible.

Please note that 5 marks will be deducted for having incorrect laboratory notebooks (e.g., spiral laboratory notes, A5 & loose paper) or the notes are not stamped by TA.

View this question

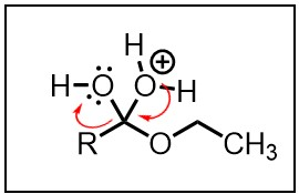
Select the appropriate image to complete the reaction scheme for box (d).

0%
0%
0%
0%
View this question

Discussion

This is where you discuss and give meaning to your results. You should also detail any experimental errors and make any other relevant comments about the experiment. Include possible improvements. Ensure you are not re-stating the method.

Discussion points to consider: (Note: The points below are not intended as questions! They are here to give guidance on what to include in your discussion. Do not simply list answers - incorporate them into a full discussion.)

  • Relate results back to the aim and introduction of the experiment – what were you trying to do, did the results support the aim of the experiment?
  • Discuss the yields, both of the initial synthesis and of the recrystallization. Discuss the reaction mechanism. How would the type of mechanism affect the yield? Are there alternative reaction pathways which could improve the expected yields? What are they?
  • Discuss the melting point analysis and the TLC results – what do they suggest about the purity of the product?  
  • What factors may have affected your final result? What are some sources of error you may have encountered, and how would they have impacted on your results?

Discussion marking rubric:

 

0

1

2

Relates results to aims.

Interpretation of results not related back to original experimental aims.

Results partially related back to original experimental aims.

Key results interpreted in relation to experimental aims. 

Discussion and interpretation of results.

No interpretation or comparison of results is made. No discussion points are addressed.

Some interpretation or comparison of results is made. Some discussion points are addressed.

Key findings are summarised. Results are interpreted. Results are compared to expected/predicted values. All discussion points are addressed. 

Actual data used to validate statements.

No experimental data used to justify scientific statements/claims. Multiple scientific errors are present.

Some experimental data used to justify scientific statements/claims. Some scientific errors are present.

Experimental data used to justify all scientific statements/claims. The science is correct.

Factors affecting results discussed.

No errors were raised or were only non-scientific/experimental errors raised. 

Only some errors raised or several non-scientific/experimental errors were raised. The impact of the errors was not discussed.

Multiple errors/factors are raised and are scientific/experimental in nature (i.e. NOT human error). The impact of the errors was discussed.

Writing Style

Many grammatical/spelling/scientific writing errors were noted, and/or discussion was over 300 words in length.

Some grammatical/spelling/scientific writing errors were noted.

The discussion was free of grammatical and spelling errors, was written in the past tense, used full sentences and a passive voice, and was within 300 words.

Word limit: 300 words+/- 10%.

An incomplete discussion may be given a zero mark.

 For guidance on writing a meaningful discussion, please refer to the following resources:

  • SoC: Undergraduate Student Handbook
  • RLO: Writing a Science Lab Report
  • RLO: Writing for Assignments
View this question

Lab notes marking rubrics:

Did you attend your regular lab group for Exp 2?

Lab notes rubric:

Image failed to load

100%
0%
View this question

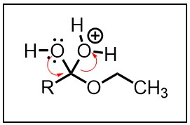
Select the appropriate image to complete the reaction scheme for box (b).

0%
0%
0%
0%
View this question

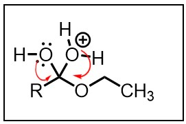
Select the appropriate image to complete the reaction scheme for step (c).

View this question

Want instant access to all verified answers on learning.monash.edu?

Get Unlimited Answers To Exam Questions - Install Crowdly Extension Now!

Browser

Add to Chrome