logo

Crowdly

Browser

Add to Chrome

CHM1022 - Chemistry II - S2 2025

Looking for CHM1022 - Chemistry II - S2 2025 test answers and solutions? Browse our comprehensive collection of verified answers for CHM1022 - Chemistry II - S2 2025 at learning.monash.edu.

Get instant access to accurate answers and detailed explanations for your course questions. Our community-driven platform helps students succeed!

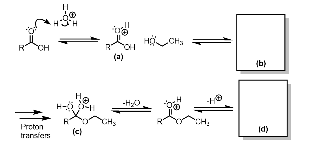
Chemistry Drawing Question: Reaction Mechanism

The mechanistic arrow (see p. 32 of your lab manual) represents the movement of 2 electrons, which forms or breaks a bond. Mechanistic arrows move from -ve to +ve. e.g. from a lone pair of electrons, a bond (which is 2 electrons) or a -ve charge

Below is an incomplete reaction scheme for a generic acid-catalysed Fischer esterification.

 

Select the appropriate image to complete the reaction scheme for step (a).

View this question
View this question
View this question
View this question
View this question
View this question
View this question

Laboratory Notes

Upload a single PDF file of your scanned laboratory notes. 

Generally, your lab notes should contain the following:

  • Name and student ID recorded.

  • Experiment title and date recorded.

  • Notes are written in pen.

  • Method recorded in brief, including changes to experimental variables/conditions (if applicable).

  • All results, data, and observations are recorded, and are neat and legible.

View this question

Lab notes marking rubrics:

Did you attend your regular lab group for exercise 3?

Lab notes rubric:

Image failed to load

0%
100%
View this question

Conclusion

You should finish your report with a short statement commenting on what you achieved, and what your final result/s were (include formulas or names if appropriate!). Think of it as a spoiler for your whole lab report! Your conclusion should answer all parts of your aim. Don’t forget – you had two parts to this experiment.

For example:

If the aim is: Determine the concentration of Vitamin C in a fruit juice via a redox titration against N-bromosuccinimide.

The conclusion might be: Berri orange juice (2000 μL aliquots, in triplicate) was titrated against a 0.104 M solution of N-bromosuccinimide. The concentration of Vitamin C in the fruit juice was determined to be 55.0 mg/L.

View this question

Want instant access to all verified answers on learning.monash.edu?

Get Unlimited Answers To Exam Questions - Install Crowdly Extension Now!

Browser

Add to Chrome