logo

Crowdly

Browser

Add to Chrome

Управленческие решения

Looking for Управленческие решения test answers and solutions? Browse our comprehensive collection of verified answers for Управленческие решения at lms.guap.ru.

Get instant access to accurate answers and detailed explanations for your course questions. Our community-driven platform helps students succeed!

Задача управления запасами относится к категории задач

View this question

Поставьте в соответствие виды альтернатив и их определения

View this question

Равенство нулю второй производной функции является необходимым условием существования экстремума дифференцируемой на интервале функции 

100%
0%
View this question

Алгоритмический метод решения задачи разработки управленческого решения в условиях риска основан на

0%
0%
0%
0%
View this question

Задача в условиях риска может быть решена методом Монте-Карло за счет замены случайных параметров детерминированными величинами 

0%
100%
View this question

Если мы выбираем альтернативу, не сравнивая ее с другими по критерию, то мы принимаем ... решение. Вставьте отсутствующее слово.

View this question

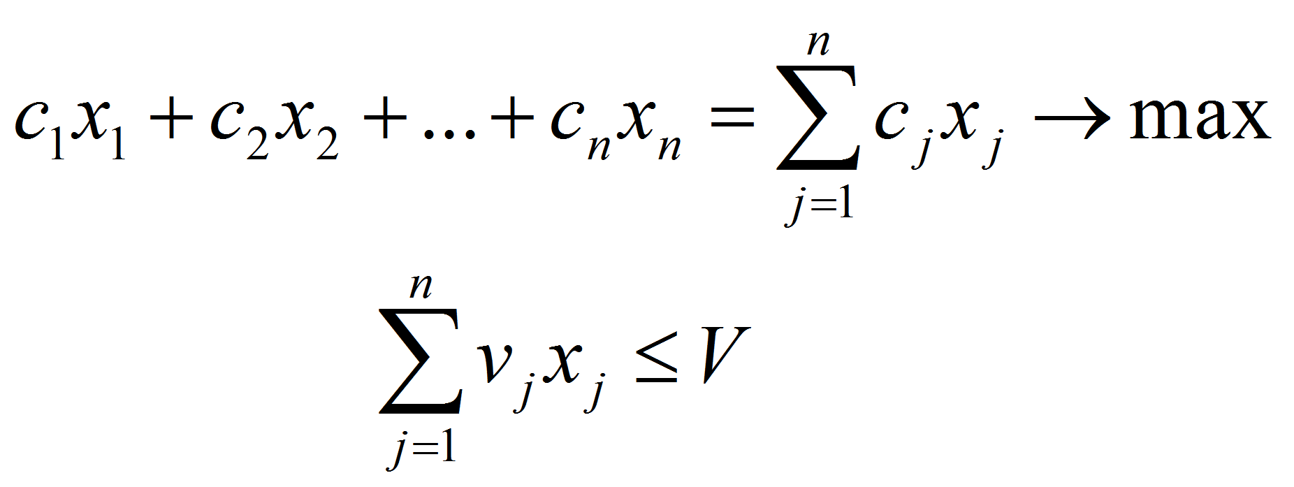
Задача, математически сформулированная в виде выражений ниже, называется задачей 

Задача о ранце

View this question
Задача разработки управленческого решения с двумя критериями называется
View this question

При разработке управленческого решения управляют 

View this question

Ограничение - это

0%
0%
0%
0%
0%
View this question

Want instant access to all verified answers on lms.guap.ru?

Get Unlimited Answers To Exam Questions - Install Crowdly Extension Now!

Browser

Add to Chrome