logo

Crowdly

Browser

Add to Chrome

Управленческие решения

Looking for Управленческие решения test answers and solutions? Browse our comprehensive collection of verified answers for Управленческие решения at lms.guap.ru.

Get instant access to accurate answers and detailed explanations for your course questions. Our community-driven platform helps students succeed!

Оптимальное решение - альтернатива, которая обеспечивает максимальное (минимальное) значение критерия из числа всех возможных

100%
0%
View this question

Имеется выборка из 20 значений случайной величины:

-85, -99, -87, 37, 80, -77, 43, -2, 96, -82, 

26, -46, -10, -68, -69, -7, -86, -91, -99, -90

Найдите минимальное значение в выборке.

View this question

Антагонистической игра  - это игра, в которой

0%
0%
0%
0%
View this question

Встречаются ситуации, когда оптимальных решений много

0%
0%
View this question

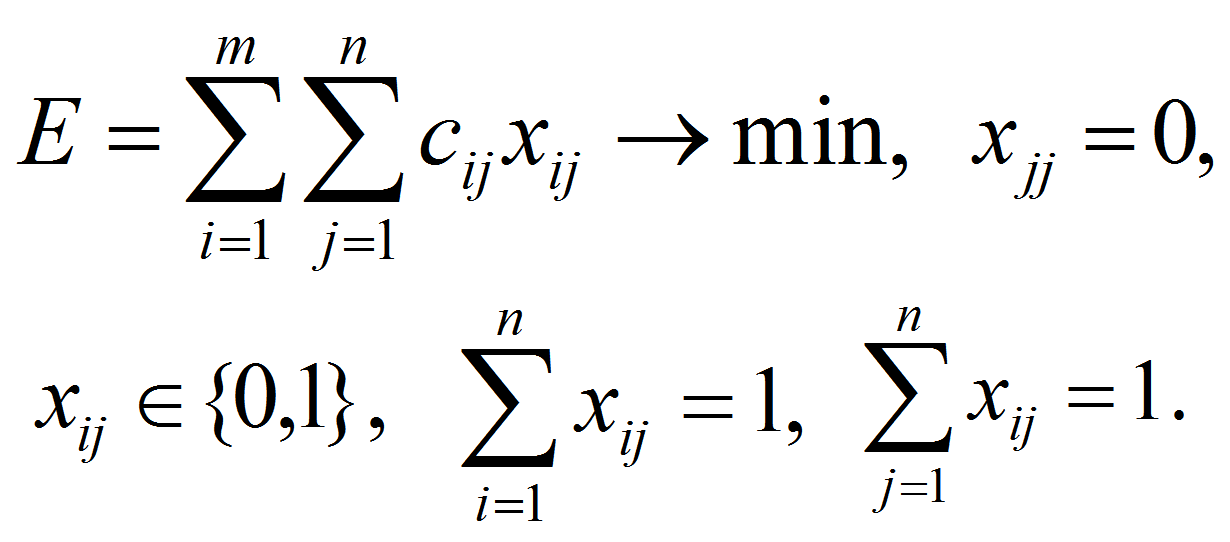
Задача, математически сформулированная в виде выражений ниже, называется задачей 

Задача коммивояжера

View this question
Многокритериальная задача - это задача
View this question

Метод Делфи - это метод оценки результатов при проведении экспертизы

0%
0%
View this question

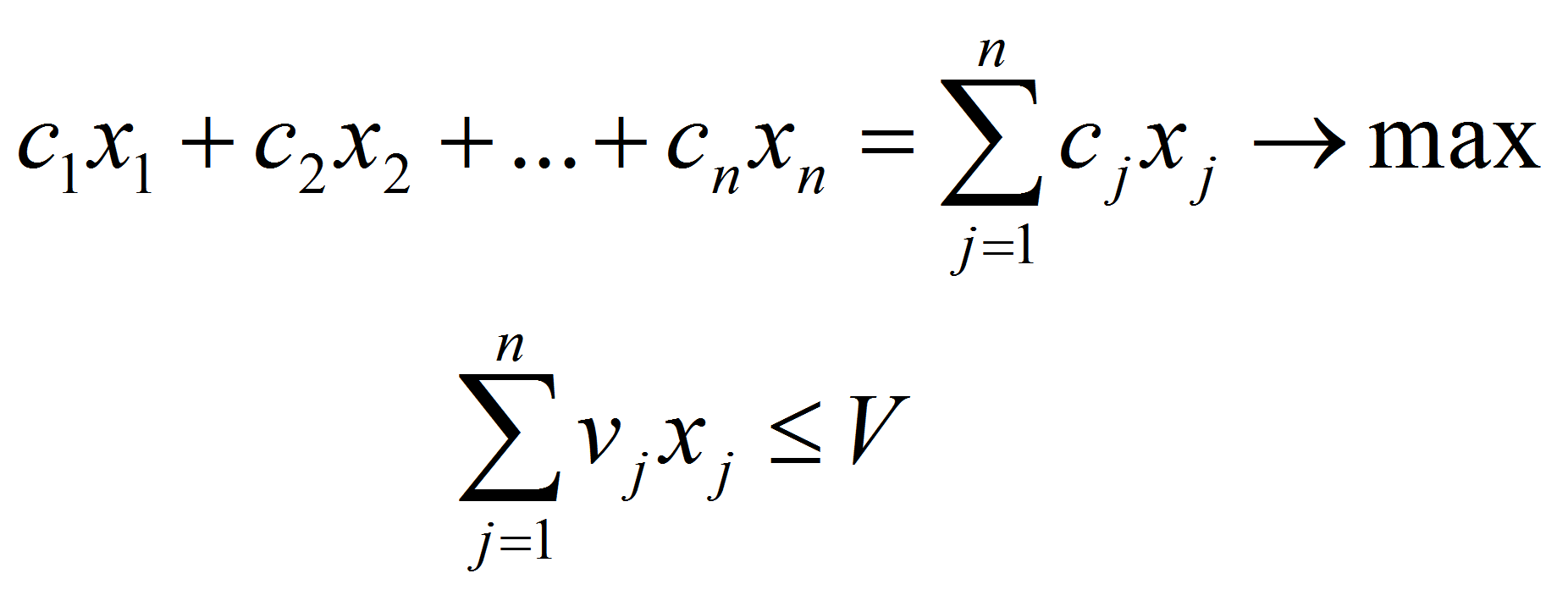
Задача, математически сформулированная в виде выражений ниже, называется задачей 

Задача о ранце

View this question

Поступить в ГУАП - это оптимальное решение

0%
0%
View this question

Достаточным условием существования минимума дифференцируемой на интервале функции является

View this question

Want instant access to all verified answers on lms.guap.ru?

Get Unlimited Answers To Exam Questions - Install Crowdly Extension Now!

Browser

Add to Chrome