logo

Crowdly

Browser

Add to Chrome

Управленческие решения

Looking for Управленческие решения test answers and solutions? Browse our comprehensive collection of verified answers for Управленческие решения at lms.guap.ru.

Get instant access to accurate answers and detailed explanations for your course questions. Our community-driven platform helps students succeed!

Положительное значение второй производной функции в точке экстремума - это необходимое условие его существования
0%
100%
View this question

Экспертная процедура используется для решения

View this question

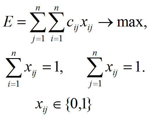
Задача, математически сформулированная в виде выражений ниже, называется задачей 

Задача о назначениях

View this question

В задаче о назначениях количество кандидатов равно количеству вакансий

100%
0%
View this question

Задача оптимизации расхода ресурсов на производство решается методами

View this question

Задачи нелинейного программирования это такие задачи, у которых на свойства целевой функции и функций ограничений не накладываются никакие условия

100%
0%
View this question
Многокритериальная задача - это задача с несколькими ограничениями
0%
0%
View this question

Случайные решения осуществляются 

View this question

Для того, чтобы найти экстремум, надо найти 

View this question

Сколько аргументов имеет функция НОРМОБР () ?

View this question

Want instant access to all verified answers on lms.guap.ru?

Get Unlimited Answers To Exam Questions - Install Crowdly Extension Now!

Browser

Add to Chrome