logo

Crowdly

Browser

Add to Chrome

Управленческие решения

Looking for Управленческие решения test answers and solutions? Browse our comprehensive collection of verified answers for Управленческие решения at lms.guap.ru.

Get instant access to accurate answers and detailed explanations for your course questions. Our community-driven platform helps students succeed!

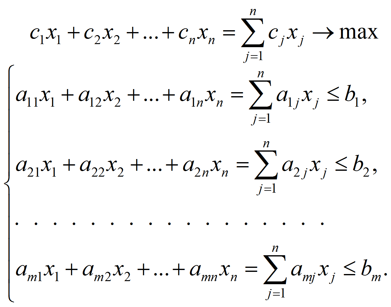
Задача, математически сформулированная в виде выражений ниже, называется задачей 

Задача распределения ресурсов

View this question

Равенство нулю первой производной функции является

View this question

Какой из ресурсов нельзя приобрести или заимствовать?

0%
0%
0%
0%
0%
View this question

Формой выражения оперативных целей может быть план работы

100%
0%
View this question

Функция, обратная y=x*x, есть функция

0%
0%
0%
0%
0%
View this question
Принцип оптимальности в многокритериальных задачах сводится к способу выбора компромисса
100%
0%
View this question

Альтернатива при рациональном решении представляет собой результат самостоятельной разработки

0%
0%
View this question

Рациональное решение - это альтернатива, которая обеспечивает

0%
0%
0%
0%
0%
0%
0%
View this question

Найти экстремум - это значит найти

0%
0%
0%
0%
0%
View this question

Функция нормального закона распределения случайного процесса не зависит от его математического ожидания и дисперсии

0%
100%
View this question

Want instant access to all verified answers on lms.guap.ru?

Get Unlimited Answers To Exam Questions - Install Crowdly Extension Now!

Browser

Add to Chrome