logo

Crowdly

Browser

Add to Chrome

UCB - MCD4550 - Engineering Numerical Analysis - Trimester 2 - 2025

Looking for UCB - MCD4550 - Engineering Numerical Analysis - Trimester 2 - 2025 test answers and solutions? Browse our comprehensive collection of verified answers for UCB - MCD4550 - Engineering Numerical Analysis - Trimester 2 - 2025 at lms.monashcollege.edu.au.

Get instant access to accurate answers and detailed explanations for your course questions. Our community-driven platform helps students succeed!

A vehicle is travelling at 72 km/h (20 m/s) when the driver sees a couple walk out on to the road 20m ahead (d=20m). The driver brakes immediately and stops just in time to avoid impact (i.e braking distance is 20m). The vehicle decelerates at a constant, gradual rate without skidding.

If the mass of the car is 1000kg, what was the work and power required to decelerate the vehicle?

View this question

A vehicle is travelling at 72 km/h (20 m/s) when the driver sees a couple walk out on to the road 20m ahead (d=20m). The driver brakes immediately and stops just in time to avoid impact (i.e braking distance is 20m). The vehicle decelerates at a constant, gradual rate without skidding.

If the mass of the car is 1000kg, what was the work and power required to decelerate the vehicle?

View this question

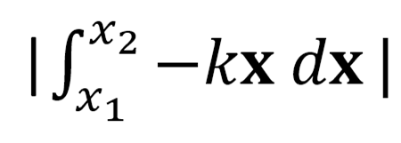
The work done by a spring with spring constant, k, on a mass, m, that is attached to it is given by:

0%
0%
0%
0%
0%
0%
0%
View this question
View this question
View this question

The small 2 kg block A slides down the curved path and passes the lowest point B with a speed of 4 m/s. If the radius of curvature of the path at B is 1.5 m, determine the normal force N exerted on the block by the path at this point. (g=9.81 m/s2)

NormalForce

0%
0%
0%
0%
View this question

Calculate the velocity of the 50-kg crate at s when pulled by the force N as shown below. The coefficient of kinetic friction between the crate and the ground is .  Assume the crate starts from the rest at s.

0%
0%
100%
0%
0%
View this question

The conveyor belt is moving at 4 m/s. If the coefficient of static friction between the conveyor and the 10-kg package is , determine the shortest time the belt can stop so that the package does not slide on the belt.

0%
0%
0%
0%
View this question

The small 2 kg block A slides down the curved path and passes the lowest point B with a speed of 4 m/s. If the radius of curvature of the path at B is 1.5 m, determine the normal force N exerted on the block by the path at this point. (g=9.81 m/s2)

NormalForce

100%
0%
0%
0%
View this question

Calculate the velocity of the 50-kg crate at s when pulled by the force N as shown below. The coefficient of kinetic friction between the crate and the ground is .  Assume the crate starts from the rest at s.

0%
100%
0%
0%
0%
View this question

Want instant access to all verified answers on lms.monashcollege.edu.au?

Get Unlimited Answers To Exam Questions - Install Crowdly Extension Now!

Browser

Add to Chrome