logo

Crowdly

Browser

Add to Chrome

Matematika XII TKJ 1,2&3, XII ANM 1,2&3, XII RPL 4, XII PSPT 1&2, XII TEI

Looking for Matematika XII TKJ 1,2&3, XII ANM 1,2&3, XII RPL 4, XII PSPT 1&2, XII TEI test answers and solutions? Browse our comprehensive collection of verified answers for Matematika XII TKJ 1,2&3, XII ANM 1,2&3, XII RPL 4, XII PSPT 1&2, XII TEI at lms.smktarunabhakti.sch.id.

Get instant access to accurate answers and detailed explanations for your course questions. Our community-driven platform helps students succeed!

Tentukan hasil dari : mc034-1.jpg
0%
0%
0%
0%
0%
View this question
Tentukan Nilai Limit dari :

mc010-1.jpg
0%
0%
0%
0%
100%
View this question
Tentukan hasil fungsi turunan berikut :

f(x) = 2xmc019-1.jpg + 4xmc019-2.jpg
0%
0%
0%
0%
0%
View this question
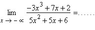
Tentukan Nilai Limit dari :

mc012-1.jpg
0%
0%
100%
0%
0%
View this question
Tentukan Nilai Limit dari :

mc001-1.jpg
0%
0%
0%
0%
0%
View this question
Tentukan hasil fungsi turunan berikut :

f(x) = mc025-1.jpg
0%
0%
0%
0%
0%
View this question
Tentukan Nilai Limit dari :

mc001-1.jpg
0%
0%
100%
0%
0%
View this question
Tentukan hasil fungsi turunan berikut :

f(x) = mc023-1.jpg
0%
0%
0%
0%
0%
View this question
Tentukan hasil dari : mc031-1.jpg
0%
0%
0%
0%
0%
View this question
Tentukan hasil fungsi turunan berikut :

f(x) = 2xmc019-1.jpg + 4xmc019-2.jpg
0%
100%
0%
0%
0%
View this question

Want instant access to all verified answers on lms.smktarunabhakti.sch.id?

Get Unlimited Answers To Exam Questions - Install Crowdly Extension Now!

Browser

Add to Chrome