logo

Crowdly

Browser

Add to Chrome

Microeconomie-Grupele C-2421, C-2422

Looking for Microeconomie-Grupele C-2421, C-2422 test answers and solutions? Browse our comprehensive collection of verified answers for Microeconomie-Grupele C-2421, C-2422 at moodle1.ceiti.md.

Get instant access to accurate answers and detailed explanations for your course questions. Our community-driven platform helps students succeed!

Indicați adevarat sau fals:

Dezeconomiile de

scară

exprimă o situaţie în care costul marginal pe termen lung creşte pe măsura creşterii producţiei.

0%
100%
View this question

Selectați de mai jos fazele activității economice:

0%
100%
100%
100%
100%
100%
0%
0%
View this question

Creșterea costurilor de producție va determina: 

0%
0%
100%
0%
View this question

Indicați care formă de monopol se constituie prin acordarea unei întrerpinderi, de către organele de stat, a unor drepturi exclusive de a produce şi a comercializa un anumit bun sau a presta anumite servicii (producţia banilor şi a timbrelor, fabricarea medicamentelor, serviciile telefonice, poştale şi de transport etc..)

0%
0%
0%
100%
0%
View this question

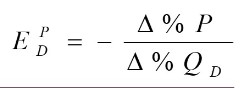
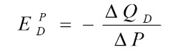
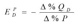
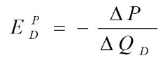
Selectați vaianta corectă de calcul a Coeficientului elasticității cererii în funcție de preț.

0%
100%
0%
0%
View this question

Graficul de mai jos ne reprezintă curba:

0%
0%
100%
0%
View this question

Costul total reprezintă:

100%
0%
0%
0%
View this question

Selectați de mai jos factorii nonpreț care influiențează asupra ofertei producătorului:

0%
100%
100%
0%
0%
100%
100%
View this question

Selectați de mai jos trasăturile pieței cu concurență perfectă:

100%
100%
0%
100%
0%
100%
100%
0%
View this question

Alegeți răspunsul corect:

0%
0%
100%
0%
View this question

Want instant access to all verified answers on moodle1.ceiti.md?

Get Unlimited Answers To Exam Questions - Install Crowdly Extension Now!

Browser

Add to Chrome