logo

Crowdly

Browser

Add to Chrome

- Campus Central - LENGUAJES FORMALES Y AUTOMATAS Matutina [02] [2do. Semestre 2025] 350297

Looking for - Campus Central - LENGUAJES FORMALES Y AUTOMATAS Matutina [02] [2do. Semestre 2025] 350297 test answers and solutions? Browse our comprehensive collection of verified answers for - Campus Central - LENGUAJES FORMALES Y AUTOMATAS Matutina [02] [2do. Semestre 2025] 350297 at moodle2025.url.edu.gt.

Get instant access to accurate answers and detailed explanations for your course questions. Our community-driven platform helps students succeed!

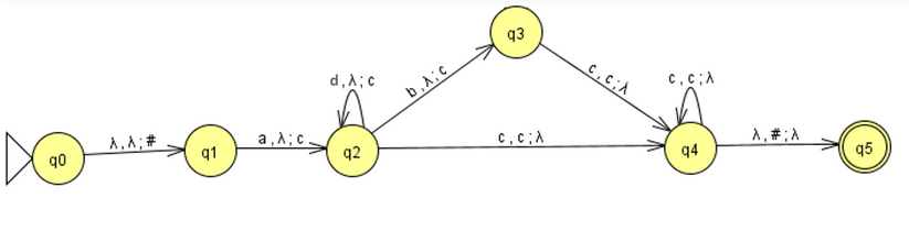
Verificar si la siguiente cadena pertenece

o no pertenece al Lenguaje que representa el AP de la imagen:   

adbccc

Debe trabajarlo directamente en el espacio

para la respuesta de la plataforma, indicando para cada paso: la pila, la

entrada y la transición.  

View this question

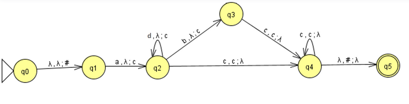
Verificar si la siguiente cadena pertenece

o no pertenece al Lenguaje que representa el AP de la imagen:   

addccc

Debe trabajarlo directamente en el espacio

para la respuesta de la plataforma, indicando para cada paso: la pila, la

entrada y la transición.  

View this question

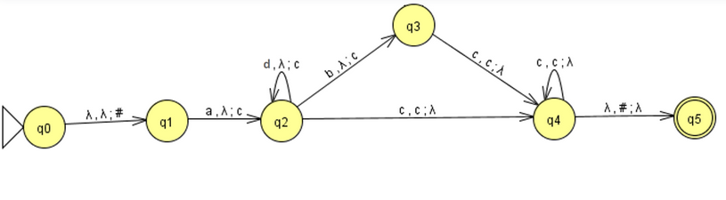
Verificar si la siguiente cadena pertenece

o no pertenece al Lenguaje que representa el AP de la imagen:    

abccc

Debe trabajarlo directamente en el espacio

para la respuesta de la plataforma, indicando para cada paso: la pila, la

entrada y la transición.  

View this question

Los lenguajes Libres de contexto son reconocidos

por:

View this question

Los autómatas descendentes reconocen lenguajes

llamados:

0%
0%
0%
0%
View this question

Dada las siguientes producciones en una gramática tipo 2:

<X0> ::=

<X1> a <X3> b <X1> <X2> <X1>

<X1> ::= s

<X1> | épsilon

<X2> ::= c <X2> |

épsilon

<X3> ::= a <X3> b

| <X1>

done S = {d, e, f, g, … , y, z}

Indique cuál de las expresiones dadas representa el mismo lenguaje reconocido

0%
0%
0%
View this question

Cuál de

los siguientes enunciados es verdadero, con base a la Jerarquía de Chomsky?

0%
0%
0%
0%
View this question

¿Por qué

autómata son reconocidos los lenguajes libres de contexto?

0%
0%
0%
0%
View this question
En un autómata de pila, la función f(q, λ,A) = {(q, λ)} es una transición independiente de la entrada

100%
0%
View this question

Todo

lenguaje generado por una gramática independiente del contexto, es un lenguaje no regular

0%
0%
View this question

Want instant access to all verified answers on moodle2025.url.edu.gt?

Get Unlimited Answers To Exam Questions - Install Crowdly Extension Now!

Browser

Add to Chrome