logo

Crowdly

Browser

Add to Chrome

- Campus Central - LENGUAJES FORMALES Y AUTOMATAS Matutina [02] [2do. Semestre 2025] 350297

Looking for - Campus Central - LENGUAJES FORMALES Y AUTOMATAS Matutina [02] [2do. Semestre 2025] 350297 test answers and solutions? Browse our comprehensive collection of verified answers for - Campus Central - LENGUAJES FORMALES Y AUTOMATAS Matutina [02] [2do. Semestre 2025] 350297 at moodle2025.url.edu.gt.

Get instant access to accurate answers and detailed explanations for your course questions. Our community-driven platform helps students succeed!

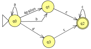
¿Qué gramática reconoce el siguiente Autómata Finito?

0%
0%
100%
0%
View this question

El siguiente autómata finito cómo queda si se quiere que sea AFD:

0%
0%
0%
0%
View this question

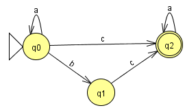
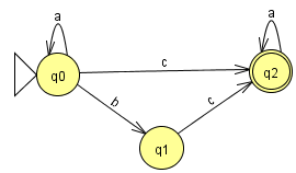
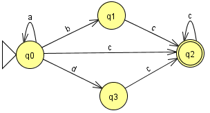
El siguiente grafo representa un Autómata Finito Determinista con ambigüedad.

0%
0%
View this question

¿Qué elementos tiene un autómata finito?

0%
0%
0%
0%
View this question

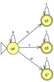
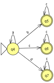
¿Qué autómata finito no determinista es equivalente a la siguiente Expresión Regular?

a* ( b? c+ | d c+ )

0%
0%
0%
0%
View this question

¿A qué generación pertenece el lenguaje máquina?

0%
100%
0%
0%
0%
View this question

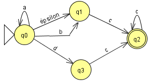
El siguiente grafo representa un Autómata Finito Determinista.

100%
0%
View this question

¿Cómo se define un autómata finito?

0%
100%
0%
0%
View this question

En una

expresión regular, ¿cómo se le llaman a los siguientes símbolos  | *

+ ? ()

0%
0%
100%
View this question

¿Cómo

se llaman las palabras previamente definidas en un

lenguaje de programación?

0%
0%
0%
0%
View this question

Want instant access to all verified answers on moodle2025.url.edu.gt?

Get Unlimited Answers To Exam Questions - Install Crowdly Extension Now!

Browser

Add to Chrome