logo

Crowdly

Browser

Add to Chrome

Controlo

Looking for Controlo test answers and solutions? Browse our comprehensive collection of verified answers for Controlo at moodle2324.up.pt.

Get instant access to accurate answers and detailed explanations for your course questions. Our community-driven platform helps students succeed!

A parte imaginária do polo da função de transferência em malha fechada do problema 4 é igual a (indique a resposta com 3 algarismos significativos)

View this question

Considere o sistema do problema anterior. Os polos da função de transferência em malha fechada são em que é igual a (indique a resposta com 3 algarismos significativos)

View this question

A figura seguinte representa o Lugar Geométrico de Raízes de um sistema com realimentação unitária com função de transferência em malha aberta . O sistema em malha fechada é estável para (indique o valor de )

View this question

Considere  seguinte sistema

em que . Pretende-se que o sistema realimentado tenha um par de polos complexos com fator de amortecimento . Então deve ser igual a (indique a resposta com 3 algarismos significativos)

View this question

O sistema

apresenta a seguinte resposta a uma rampa com inclinação

A constante de erro estático de velocidade deste sistema () é (indique o resultado com 3 algarismos significativos):

View this question

Considere que tem o Lugar Geométrico de Raízes representado na figura seguinte.

Sabendo

que

, com , então:

View this question

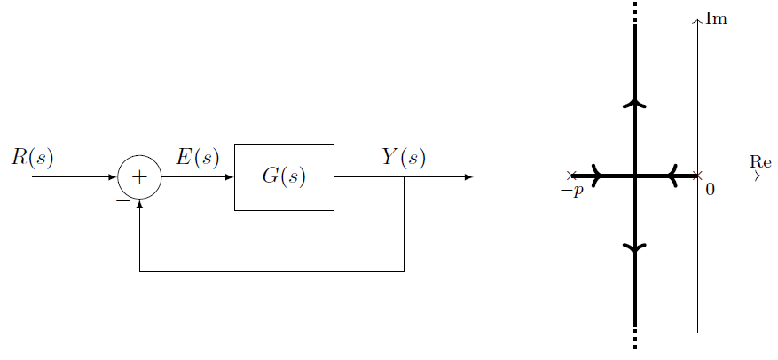
O sistema representado na figura

Apresenta um erro em regime permanente na resposta a uma rampa com inclinação 3. Então 

0%
0%
0%
View this question

Considere o enunciado das perguntas anteriores. Quantos polos fora da origem é que esta função de transferência tem.

View this question

Considere o enunciado da pergunta anterior. Sabendo que o declive da reta no intervalo é de -60dB/dec, indique quantos zeros tem a função de transferência.

View this question

G(s) é uma função de transferência com todos os pólos e zeros no semiplano esquerdo, com ganho de Bode positivo e diagrama assintótico de amplitudes representado na seguinte figura:

Determine o número de pólos na origem.

View this question

Want instant access to all verified answers on moodle2324.up.pt?

Get Unlimited Answers To Exam Questions - Install Crowdly Extension Now!

Browser

Add to Chrome