logo

Crowdly

Browser

Add to Chrome

Теорія оптимального керування

Looking for Теорія оптимального керування test answers and solutions? Browse our comprehensive collection of verified answers for Теорія оптимального керування at moodle.chdtu.edu.ua.

Get instant access to accurate answers and detailed explanations for your course questions. Our community-driven platform helps students succeed!

У класичній задачі варіаційного числення що є достатньою умовою екстремуму функціоналу? 

0%
33%
View this question

С

укупність взаємозв'язків і взаємин між властивостями елементів системи, коли вони

набувають характеру взаємосприяння один одному називають ...

View this question

Розділ

функціонального аналізу, який займається диференціюванням

функціоналів та їх дослідженням на екстремум, називається ...

View this question

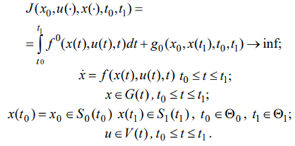
Встановити відповідність між складовими задачі оптимального керування та їх назвами:

View this question

Want instant access to all verified answers on moodle.chdtu.edu.ua?

Get Unlimited Answers To Exam Questions - Install Crowdly Extension Now!

Browser

Add to Chrome