logo

Crowdly

Browser

Add to Chrome

Теорія оптимального керування

Looking for Теорія оптимального керування test answers and solutions? Browse our comprehensive collection of verified answers for Теорія оптимального керування at moodle.chdtu.edu.ua.

Get instant access to accurate answers and detailed explanations for your course questions. Our community-driven platform helps students succeed!

Як називаються задані рівняння?

0%
50%
0%
View this question

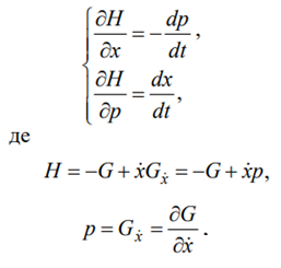
Як називається задана система рівнянь?

View this question

Геометрична інтрерпретація якої математичної задачі подана на рисунку?

0%
0%
View this question

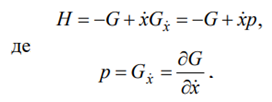
Як називаються задані рівняння?

View this question

Як називається задача оптимального керування?

0%
0%
0%
View this question

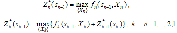
Як називається задана система з відповідними позначеннями?

View this question

Як називається зазначена умова в методі динамічного програмування:

Вибір управління на k

-му кроці залежить лише від стану

системи перед цим кроком і не впливає на попередні кроки.

0%
0%
0%
View this question

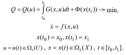
Як називається задана задача оптимального керування?

View this question

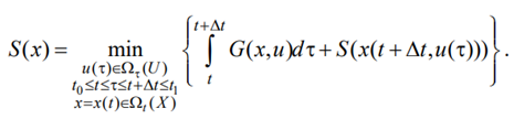
Як називається задана функція?

View this question

View this question

Want instant access to all verified answers on moodle.chdtu.edu.ua?

Get Unlimited Answers To Exam Questions - Install Crowdly Extension Now!

Browser

Add to Chrome