logo

Crowdly

Browser

Add to Chrome

M129 (OI) - Messa in funzione dei componenti LAN

Looking for M129 (OI) - Messa in funzione dei componenti LAN test answers and solutions? Browse our comprehensive collection of verified answers for M129 (OI) - Messa in funzione dei componenti LAN at moodle.edu.ti.ch.

Get instant access to accurate answers and detailed explanations for your course questions. Our community-driven platform helps students succeed!

A cosa serve il seguente comando, svolto su uno switch CISCO?

switch0(config)# interface range fastethernet 0/1-2
View this question

A che livello del modello OSI opera un HUB?

View this question

Qual è lo scopo del protocollo STP utilizzato dagli switch?

View this question

Qual'è il protocollo utilizzato per combinare più collegamenti ethernet in un unico collegamento logico?

View this question

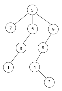
Dato lo schema sottostante, tenendo conto che il Root bridge è lo switch 5, qual'è lo spanning tree corretto?

schema

0%
0%
0%
View this question

Quando arrivano bit su una delle sue porte, cosa fa un HUB?

0%
0%
0%
View this question

A cosa serve la porta uplink presente in alcuni HUB?

View this question

Abbina queste 3 operazioni tipiche di uno switch con il corretto termine

View this question
La funzionalità di inoltro selettivo dei pacchetti su quale tipo di indirizzi è basata?

View this question

Qual è il vantaggio principale nell'utilizzare un HUB?

View this question

Want instant access to all verified answers on moodle.edu.ti.ch?

Get Unlimited Answers To Exam Questions - Install Crowdly Extension Now!

Browser

Add to Chrome