logo

Crowdly

Browser

Add to Chrome

M129 (OI) - Messa in funzione dei componenti LAN

Looking for M129 (OI) - Messa in funzione dei componenti LAN test answers and solutions? Browse our comprehensive collection of verified answers for M129 (OI) - Messa in funzione dei componenti LAN at moodle.edu.ti.ch.

Get instant access to accurate answers and detailed explanations for your course questions. Our community-driven platform helps students succeed!

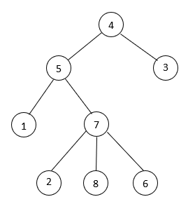
Dato la configurazione sottostante, considerando che il root bridge è lo SW4, quale è lo spanning tree corretto?

schema

0%
0%
0%
View this question

Che differenza c’è tra un HUB attivo e uno passivo?

View this question

In

una ditta con 5 uffici, per diminuire il traffico di rete, sei stato chiamato a

suddividere la rete 172.16.0.0/16 in 5 subnet.

Indica

la nuova subnet

mask

e, per ognuna delle 5 sottoreti:

  • indirizzo di rete
  • host validi (da .. a)
  • indirizzo di broadcast

View this question

A che classe appartengono i seguenti indirizzi IP?

View this question

Ho una rete standard di classe C che voglio subnettare per dividerla in 4 sottoreti, quale sarà la nuova subnetmask? 

View this question

Qual è la subnet mask di default di un indirizzo di classe A?

View this question

Il mio PC ha un indirizzo IP 192.168.0.27 con subnet mask impostata a 255.255.255.248

Qual è l'indirizzo di rete alla quale appartiene?

View this question

A quale notazione CIDR corrispondono le seguenti subnet mask?

View this question

Il seguente indirizzo IP 192.168.1.18 con maschera di rete 255.255.0.0 a quale classe appartiene?

0%
0%
0%
0%
View this question

Nelle reti di calcolatori con che termine si indica l'operazione di inserimento di un payload di un certo livello N dello strato architetturale in un livello N-1?

View this question

Want instant access to all verified answers on moodle.edu.ti.ch?

Get Unlimited Answers To Exam Questions - Install Crowdly Extension Now!

Browser

Add to Chrome