logo

Crowdly

Browser

Add to Chrome

Fall 2025-91501-202590-BIOL208-01 - Microbiology for Health Sci

Looking for Fall 2025-91501-202590-BIOL208-01 - Microbiology for Health Sci test answers and solutions? Browse our comprehensive collection of verified answers for Fall 2025-91501-202590-BIOL208-01 - Microbiology for Health Sci at moodle.immaculata.edu.

Get instant access to accurate answers and detailed explanations for your course questions. Our community-driven platform helps students succeed!

What are the products of glycolysis?
View this question

Which of the following is the best

definition of generation time?

View this question

Application of heat to living cells can result in all except

View this question

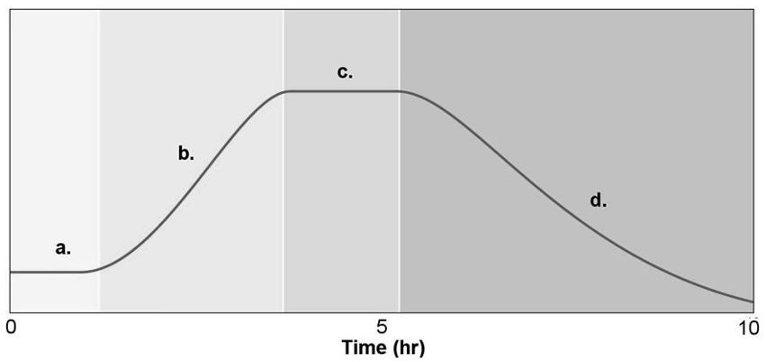
The figure above shows a typical bacterial

growth curve with the

y

-axis indicating the log of the number of

bacteria and the

x

-axis indicating time in culture. In the figure, which

section (or sections) shows a growth phase where the number of cells dying

equals the number of cells dividing?

0%
0%
0%
0%
View this question

During which growth phase

will gram-positive bacteria be most susceptible to penicillin?

0%
0%
0%
0%
View this question

Most bacteria grow best at

pH ________.

0%
0%
0%
0%
View this question

ATP molecules are created from catabolic pathways and consumed in anabolic pathways in living cells.

100%
0%
View this question
The difference between simple diffusion and facilitated diffusion is that facilitated diffusion ________.
0%
0%
0%
0%
View this question

An isolated colony on a streak plate contains millions of identical

cells which arose from one initial cell

100%
0%
View this question

Often, patients with indwelling catheters

(long-term tubes inserted into body orifices for drainage, such as through the

urethra and into the urinary bladder) are susceptible to infections because:

0%
0%
0%
0%
View this question

Want instant access to all verified answers on moodle.immaculata.edu?

Get Unlimited Answers To Exam Questions - Install Crowdly Extension Now!

Browser

Add to Chrome