logo

Crowdly

Browser

Add to Chrome

T190B263 Grandinių teorija 2 Darius Jegelevičius (ruduo, nuolatinės, LT)

Looking for T190B263 Grandinių teorija 2 Darius Jegelevičius (ruduo, nuolatinės, LT) test answers and solutions? Browse our comprehensive collection of verified answers for T190B263 Grandinių teorija 2 Darius Jegelevičius (ruduo, nuolatinės, LT) at moodle.ktu.edu.

Get instant access to accurate answers and detailed explanations for your course questions. Our community-driven platform helps students succeed!

Nurodykite srovių grandinėje kreives.

0%
0%
0%
0%
View this question

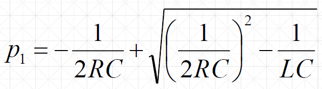
Būdingosios diferencialinės lygties šaknis duotai grandinei apskaičiuojama taip:

Kokiu atveju turėsime kritinį aperiodinį reakcijos pobūdį?

0%
100%
0%
View this question

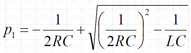
Būdingosios diferencialinės lygties šaknis duotai grandinei apskaičiuojama taip:

Kokiu atveju turėsime aperiodinį reakcijos pobūdį?

100%
0%
0%
View this question

Kuri ekvivalentinė schema atspindi šią grandinę t=0+ laiko momentu po įtampos šaltinio prijungimo? (Talpumo ir induktyvumo elementai iki komutavimo nebuvo sukaupę energijos.)

0%
0%
0%
View this question

Būdingosios diferencialinės lygties šaknis duotai grandinei apskaičiuojama taip:

Kokiu atveju turėsime virpamąjį reakcijos pobūdį?

0%
100%
0%
View this question

Kuri ekvivalentinė schema atspindi šią grandinę t=0+ laiko momentu po šaltinio prijungimo? (Talpumo ir induktyvumo elementai iki komutavimo nebuvo sukaupę energijos.)

0%
0%
0%
View this question

Kuri ekvivalentinė schema atspindi šią grandinę pasibaigus pereinamajam procesui? (Talpumo ir induktyvumo elementai iki komutavimo nebuvo sukaupę energijos.)

0%
0%
0%
View this question

Kuri ekvivalentinė schema atspindi šią grandinę pasibaigus pereinamajam procesui? (Talpumo ir induktyvumo elementai iki komutavimo nebuvo sukaupę energijos.)

0%
0%
0%
View this question

Nurodykite pereinamojo proceso pobūdį (pasirinkite atsakymą, aiškiausiai nusakantį pateiktą situaciją)

0%
0%
0%
View this question

Kuri ekvivalentinė schema atspindi šią grandinę t=0+ laiko momentu po įtampos šaltinio prijungimo? (Talpumo ir induktyvumo elementai iki komutavimo nebuvo sukaupę energijos.)

0%
0%
100%
View this question

Want instant access to all verified answers on moodle.ktu.edu?

Get Unlimited Answers To Exam Questions - Install Crowdly Extension Now!

Browser

Add to Chrome