logo

Crowdly

Browser

Add to Chrome

T190B263 Grandinių teorija 2 Darius Jegelevičius (ruduo, nuolatinės, LT)

Looking for T190B263 Grandinių teorija 2 Darius Jegelevičius (ruduo, nuolatinės, LT) test answers and solutions? Browse our comprehensive collection of verified answers for T190B263 Grandinių teorija 2 Darius Jegelevičius (ruduo, nuolatinės, LT) at moodle.ktu.edu.

Get instant access to accurate answers and detailed explanations for your course questions. Our community-driven platform helps students succeed!

Kuri ekvivalentinė schema atspindi šią grandinę t=0+ laiko momentu po šaltinio prijungimo? (Talpumo ir induktyvumo elementai iki komutavimo nebuvo sukaupę energijos.)

0%
0%
0%
View this question

Nurodykite pereinamojo proceso pobūdį (pasirinkite atsakymą, aiškiausiai nusakantį pateiktą situaciją)

0%
100%
0%
View this question

Kuri dažninė charakteristika atitiks šios grandinės įėjimo impedanso modulį įtampos šaltinio gnybtų atžvilgiu?

0%
0%
0%
View this question

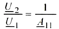
Pateiktas grandinės išskaidymas į keturpolius. Visi pažymėti keturpoliai naudojami ekvivalentinio keturpolio parametrų skaičiavimui.

Kurią išraišką naudosite keturpolio įtampos perdavimo koeficientui skaičiuoti?

0%
0%
View this question

Kuri įtampos perdavimo dažninė amplitudės ch-ka atitinka šią grandinę?

0%
0%
0%
0%
View this question

Kam bus lygus varžinio elemento, su varža R impedanso modulis, kai dažnis f=∞ Hz?

0%
0%
0%
0%
View this question

Kuri įtampos perdavimo dažninė amplitudės ch-ka atitinka šią grandinę?

100%
0%
0%
0%
View this question

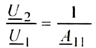
Pateiktas grandinės išskaidymas į keturpolius. Visi pažymėti keturpoliai naudojami ekvivalentinio keturpolio parametrų skaičiavimui.

Kurią išraišką naudosite keturpolio įtampos perdavimo koeficientui skaičiuoti?

0%
100%
View this question

Kuri įėjimo impedanso (šaltinio atžvilgiu) dažninė amplitudės ch-ka atitinka šią grandinę?

0%
100%
0%
0%
View this question

Duota grandinė, kurios įėjimo gnybtai pažymėti "In", o išėjimo gnybtai pažymėti "Out"

Kuris įtampų santykis nurodo įtampos perdavimo koeficientą?

0%
0%
0%
0%
100%
View this question

Want instant access to all verified answers on moodle.ktu.edu?

Get Unlimited Answers To Exam Questions - Install Crowdly Extension Now!

Browser

Add to Chrome