logo

Crowdly

Browser

Add to Chrome

P175B100 Skaitmeninės logikos pradmenys (nuolatinės, LT)

Looking for P175B100 Skaitmeninės logikos pradmenys (nuolatinės, LT) test answers and solutions? Browse our comprehensive collection of verified answers for P175B100 Skaitmeninės logikos pradmenys (nuolatinės, LT) at moodle.ktu.edu.

Get instant access to accurate answers and detailed explanations for your course questions. Our community-driven platform helps students succeed!

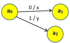
Kurio automato išėjimo signalai priklauso tik nuo esamos

būsenos?

0%
0%
0%
0%
0%
View this question

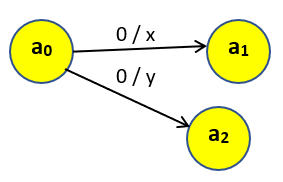
Ką galite pasakyti apie šį grafo fragmentą?

0%
0%
0%
View this question

Koks tai grafas?

0%
0%
0%
0%
View this question

Pažiūrėkite į šį BA grafo fragmentą:

Kuris perėjimų aprašas VHDL kalba yra teisingas?

0%
0%
0%
View this question

Kurio automato išėjimo signalai priklauso tik nuo įėjimo signalų reikšmių?

0%
0%
0%
0%
0%
View this question

Kuris(ie) teiginys(iai) apie baigtinio automato būsenų registrą yra teisingas(i)? 

0%
0%
0%
0%
View this question

Kurio automato paskesnė būsena priklauso nuo esamos

būsenos ir įėjimo signalų reikšmių?

0%
0%
0%
0%
0%
View this question

Koks yra maksimalus jungtinio skaitiklio modulis, jei M1 = 12, o M2 = 16?

0%
0%
0%
0%
0%
View this question
  Du skaitikliai sujungti tokiu būdu:

Kuris teiginys apie tokį jungtinį skaitiklį teisingas?

0%
0%
0%
0%
View this question

Skaitiklio CNT_1 modulis yra 14, o CNT_2 - 10. Koks yra jungtinio skaitiklio modulis, jei žemiau pateiktame VHDL kode yra aprašytas jiems generuojamas  rst_internal signalas?

process (CLK_I, RST_I)

    begin 

        if     (RST_I = '1') then  RST_internal <=    '1'; 

        elsif  CLK_I'event  and  CLK_I = '1' then 

            if ((CNT_2_O(2) = '1')  and (CNT_2_O(1) = '1')

            and (CNT_1_O(3) = '1')  and (CNT_1_O(0) = '1'))  then 

                RST_internal <=    '1';  CNT_CO <= '1';

            else

                RST_internal <=    '0';  CNT_CO <= '0';   

            end if;           

        end if;

    end process;

0%
0%
0%
0%
0%
0%
View this question

Want instant access to all verified answers on moodle.ktu.edu?

Get Unlimited Answers To Exam Questions - Install Crowdly Extension Now!

Browser

Add to Chrome