logo

Crowdly

Browser

Add to Chrome

Matematikai logika (GINFVA0201-2025261-C1-GINFVA0201)

Looking for Matematikai logika (GINFVA0201-2025261-C1-GINFVA0201) test answers and solutions? Browse our comprehensive collection of verified answers for Matematikai logika (GINFVA0201-2025261-C1-GINFVA0201) at moodle.pte.hu.

Get instant access to accurate answers and detailed explanations for your course questions. Our community-driven platform helps students succeed!

Az alábbi formulák közül melyik egyenértákű az alábbi kijelentés TAGADÁSÁVAL?

„Szeretek főzni, ha van segítségem és nincs sok határidős munkám."

: van segítségem

: sok határidős munkám van

: szeretek főzni

100%
0%
100%
0%
0%
0%
View this question

Adott egy formula értéktáblázata. Az alábbi formulák közül melyik egyenrtékű a D formulával? 

0%
0%
0%
0%
0%
0%
View this question

Helyes-e az alábbi kijelentéslogikai következtetési séma?

 (1)

 -----------------------------------------------------------------------

 (k)

0%
0%
View this question

Helyes-e az alábbi kijelentéslogikai következtetési séma?

--------------------

0%
0%
View this question
Helyes-e az alábbi következtetési séma?

 (1)

 (2)

 -------------------------------------

 (k)
0%
100%
View this question

Helyes-e az alábbi kijelentéslogikai következtetési séma?

--------------------------------

0%
0%
View this question

Helyes-e a keretben látható (kijelentés-logikai) következtetési séma? 

Ha p, akkor q és q. Következik-e ebből, hogy p is teljesül?

100%
0%
View this question

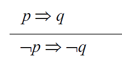
Helyes-e az alábbi kijelentéslogikai következtetési séma?

Ha p, akkor q. Igaz-e ekkor, hogy ha nm p akkor nem q?

0%
100%
View this question

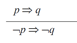
Helyes-e az alábbi kijelentéslogikai következtetési séma?

Ha p, akkor q. Igaz-e ekkor, hogy ha nm p akkor nem q?

0%
0%
View this question

Helyes-e a keretben látható (kijelentés-logikai) következtetési séma? 

Ha p, akkor q és q. Következik-e ebből, hogy p is teljesül?

0%
0%
View this question

Want instant access to all verified answers on moodle.pte.hu?

Get Unlimited Answers To Exam Questions - Install Crowdly Extension Now!

Browser

Add to Chrome