logo

Crowdly

Browser

Add to Chrome

Matematikai logika (GINFVA0201-2025261-C1-GINFVA0201)

Looking for Matematikai logika (GINFVA0201-2025261-C1-GINFVA0201) test answers and solutions? Browse our comprehensive collection of verified answers for Matematikai logika (GINFVA0201-2025261-C1-GINFVA0201) at moodle.pte.hu.

Get instant access to accurate answers and detailed explanations for your course questions. Our community-driven platform helps students succeed!

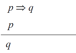
Helyes-e a keretben látható (kijelentés-logikai) következtetési séma? 

Ha p, akkor q és q. Következik-e ebből, hogy p is teljesül?

100%
0%
View this question

Helyes-e az alábbi kijelentéslogikai következtetési séma?

Ha p, akkor q. Igaz-e ekkor, hogy ha nm p akkor nem q?

0%
100%
View this question

1.     Minden kétváltozós logikai művelet felírható egyetlen művelet segítségével.

2.     A kétváltozós logikai műveletek bármely 2 ismert művelet segítségével felírhatóak.

3.     Ebben a keretben legalább 2 állítás hamis. 

4.     Ebben a keretben legalább 3 állítás hamis.

5.     Ebben a keretben legfeljebb 3 állítás igaz.

0%
0%
0%
View this question

Döntse el, hogy az alábbi formula tautológia, kontingens formula vagy kontradikció?

0%
0%
0%
View this question

Helyes-e az alábbi kijelentéslogikai következtetési séma?

Ha p, akkor q. Igaz-e ekkor, hogy ha nm p akkor nem q?

0%
100%
View this question
A "4-gyel való oszthatóságnak" a "2-vel való oszthatóság" feltétele.
View this question

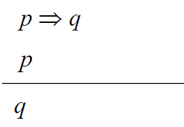
Helyes-e a keretben látható (kijelentés-logikai) következtetési séma? 

Ha p, akkor q és q. Következik-e ebből, hogy p is teljesül?

0%
0%
View this question

Mi  a   tagadása?

0%
0%
View this question
A "18-cal való oszthatóságnak" elégséges feltétele a(z) -vel való oszthatóság. (Egy feltételt adjon meg! Formátum: pl. 15)
View this question
A "36-tal való oszthatóságnak" szükséges és elégséges feltétele a(z) való oszthatóság.
View this question

Want instant access to all verified answers on moodle.pte.hu?

Get Unlimited Answers To Exam Questions - Install Crowdly Extension Now!

Browser

Add to Chrome