logo

Crowdly

Browser

Add to Chrome

AEK0270 Materjalid elektriseadmetes (2025 sügis)

Looking for AEK0270 Materjalid elektriseadmetes (2025 sügis) test answers and solutions? Browse our comprehensive collection of verified answers for AEK0270 Materjalid elektriseadmetes (2025 sügis) at moodle.taltech.ee.

Get instant access to accurate answers and detailed explanations for your course questions. Our community-driven platform helps students succeed!

Milline on

antud töös vasara löögi kasutegur?

0%
100%
0%
View this question

Mille alusel

määratakse metalli jämendamiseks vajaliku vasara langeva tööriista (ülemise

pinni) langemiskõrgus?

0%
0%
0%
0%
View this question

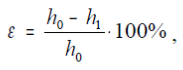
Arvutage

katsekeha kõrgus h

1

millimeetrites peale jämendamist, kui on teada et katsekeha

esialgne (enne jämendamist) kõrgus 2.0 mm ja deformatsiooniaste (normaaldeformatsioon) on 3.9 %. Vastus peab olema leitud millimeetri kümnendiku täpsusega kasutages toodud valemit:

View this question

Milline

energia muutub vasara löögil deformatsioonitööks?

50%
0%
100%
50%
View this question

Mida

iseloomustab deformatsiooniaste (normaaldeformatsioon) jämendamisel?

0%
0%
0%
0%
View this question

Kas

deformatsiooni kiirus ja deformeerimiskiirus on samad mõisted?

0%
0%
100%
View this question

Kui suur on vasara rakendatav maksimaalne arvutuslik löögienergia (J)?

Vasara mass 6,2 kg, maksimaalne langemiskõrgus 0,76 m, raskuskiirendus 9,81 m/s2

100%
0%
0%
View this question

Mis

on metallide vabajämendamise praktikumi eesmärgid?

0%
0%
0%
0%
View this question

Milline on praktikumi metalli vabajämendamine töökäik?

0%
0%
0%
0%
0%
View this question

Milliseid

tööohutuse aspekte peab töö käigus arvestama?

0%
0%
0%
0%
0%
0%
View this question

Want instant access to all verified answers on moodle.taltech.ee?

Get Unlimited Answers To Exam Questions - Install Crowdly Extension Now!

Browser

Add to Chrome