logo

Crowdly

Browser

Add to Chrome

BLDG2023-Construction Planning (T1, 2025)

Looking for BLDG2023-Construction Planning (T1, 2025) test answers and solutions? Browse our comprehensive collection of verified answers for BLDG2023-Construction Planning (T1, 2025) at moodle.telt.unsw.edu.au.

Get instant access to accurate answers and detailed explanations for your course questions. Our community-driven platform helps students succeed!

Standard deviation and variance of activities in a project are given in table below. What is the probability (z) that the project will be completed within 20 weeks? The project duration has been calculated as 17.5 weeks. Activities B, C, E, and G are critical.

0%
100%
0%
0%
View this question

30 similar houses are to be built in a housing project. For each house, 10 trade activities need to be carried out, and their relationships are given in the following network diagram. The duration of each trade activity for one house is listed in the table. 

Assume all the trade activities need to be carried out continuously and the total project needs to be finished in the shortest possible time.

(1) Calculate the total duration, starting week and finishing week for each trade using the LOB method.

(2) Determine the total project duration.

Q7 LOB 2019 Final Exam

View this question
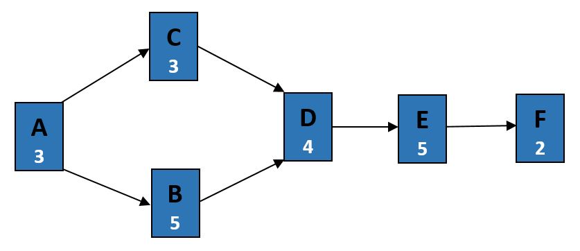
Consider the network below. Activity durations are given in nodes.

What is finish time of the project?

0%
100%
0%
0%
View this question
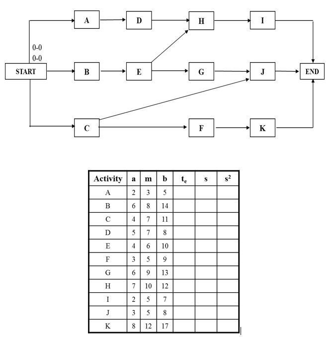
Network diagram of a project is given in below. The average (t), standard deviation (s) and variance (s2) of the activities are given in table below.

What is expected completion time of the project?

0%
0%
0%
100%
View this question

The following precedence diagram shows all the activities involved in the construction of one floor of a high-rise building. The duration of each activity is also given (in days).  There are 18 typical floors to be constructed for this high-rise building.

When Activity C Can Complete?

0%
0%
0%
0%
0%
View this question
Network diagram of a project is given in below. The average (t), standard deviation (s) and variance (s2) of the activities are given in table below.

What is standard deviation of project completion time?

0%
0%
100%
0%
View this question

See below for a project's precedence diagram and each activity's duration given in the table. 

(1) If the project manager for the following project wants to be at least 80% sure about the scheduled completion time, how many weeks the project should be scheduled?

(2) What is the possibility that the project will complete in less than 32 weeks?

Q8 2019 final exam BLDG2023

View this question

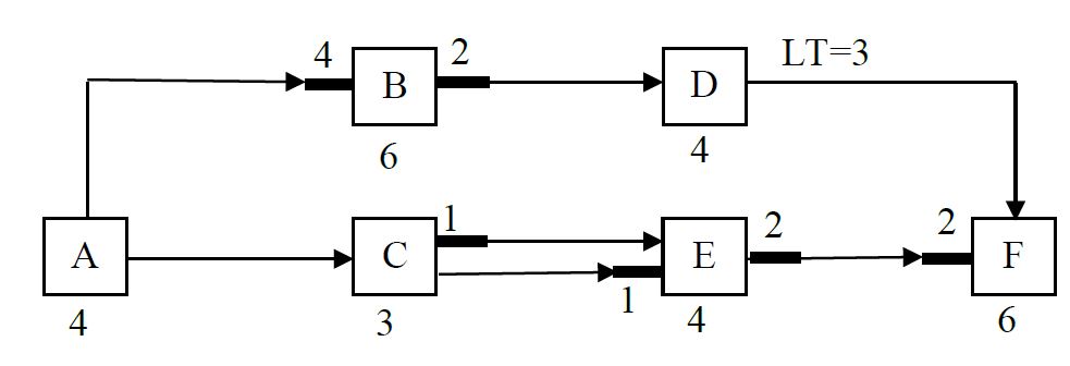
For the given overlapping network diagram:

(1) Describe the relationship between all activities. (For example, AC is Finish to Finish).

(2) Calculate the Early Start Date and Early Finish Date of each activity.

(3) Determine the project duration.

Q4 - CONS0009 Supp exam 2018

View this question
Standard deviation and variance of activities in a project are given in table below. What is the probability (z) that the project will be completed within 23 weeks? The project duration has been calculated as 19.7 weeks. Activities A, D, and G are critical.

0%
0%
0%
100%
View this question
Consider the network below. Activity durations are given in nodes.

What is critical path of the project?

100%
0%
0%
0%
View this question

Want instant access to all verified answers on moodle.telt.unsw.edu.au?

Get Unlimited Answers To Exam Questions - Install Crowdly Extension Now!

Browser

Add to Chrome