logo

Crowdly

Browser

Add to Chrome

Tehniline mehaanika I (EHE002) - K. Lellep, A. Kuningas

Looking for Tehniline mehaanika I (EHE002) - K. Lellep, A. Kuningas test answers and solutions? Browse our comprehensive collection of verified answers for Tehniline mehaanika I (EHE002) - K. Lellep, A. Kuningas at moodle.tktk.ee.

Get instant access to accurate answers and detailed explanations for your course questions. Our community-driven platform helps students succeed!

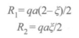
Millise tabeli valemiga saame leida selle ülesande vertikaalseid toereaktsioone?

View this question

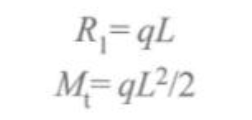
Millist tasakaaluvõrrandite kombinatsiooni kasutame järgneva skeemi toereaktsioonide leidmiseks?

View this question

Valida õiged väited järgneva olukorra kohta:

  1. 7m lihttalale mõjub sümmeetriliselt neli 25 kN suurust punktkoormust;
  2. 7m lihttalale mõjub terves ulatuses joonkoormus, mille resultant on võrdne eelmise punkti punktkoormuste summaga.
0%
0%
0%
0%
0%
0%
View this question

Järjestada tegevused koonduva tasapinnalise jõusüsteemi graafiliseks lahendamiseks:

View this question

Leida parempoolse toe vertikaalne reaktsioon kui L = 18.7 m, l = 1.4 m ja koormus P = 19 kN. Vastus anda kahe komakohaga (koma asemel kasutada punkti) ning juurde lisada ka ühik.

View this question

Joonisel on toodud seina külge kinnitatud kronstein, mille abil saab raskus rippuda seinast eemal. Mis juhtub tugedel kui tugedevaheline kaugus (punktide A ja B vaheline kaugus) oleks suurem?

View this question

Koonduva tasapinnalise jõusüsteemi graafiline lahendamine tähendab projektsioonivõrrandite koostamist ja lahendamist.

0%
100%
View this question

Katuse kalle horisontaaltelje suhtes on 21°. Sarikale mõjub vertikaalselt punktkoormus 8 kN. Leida selle koormuse komponent piki sarikat. Vastus anda kahe komakohaga (koma asemel kasutada punkti) ning juurde lisada ka ühik.

View this question

Leida vasakpoolse toe vertikaalne reaktsioon kui L = 12.9 m, l = 7.9 m ja koormus P = 48 kN. Vastus anda kahe komakohaga (koma asemel kasutada punkti) ning juurde lisada ka ühik.

View this question

Joonisel on toodud õõnespaneelide ilma traaversita tõstmise geomeetria piirmäärad. Mis juhtub tõstekettide ja õõnespaneeli sõlmes kui tõstekettide vaheline nurk oleks suurem?

Allikas: E-betoonelemendi „Ekstruuder-õõnespaneelide vastuvõtu- ja paigaldusjuhendi“ lk. 8

0%
0%
0%
0%
View this question

Want instant access to all verified answers on moodle.tktk.ee?

Get Unlimited Answers To Exam Questions - Install Crowdly Extension Now!

Browser

Add to Chrome