logo

Crowdly

Browser

Add to Chrome

Ekonomika podniku (2101234)

Looking for Ekonomika podniku (2101234) test answers and solutions? Browse our comprehensive collection of verified answers for Ekonomika podniku (2101234) at moodle.tuke.sk.

Get instant access to accurate answers and detailed explanations for your course questions. Our community-driven platform helps students succeed!

Čo je hlavným cieľom podniku v trhovom hospodárstve podľa textu?

0%
0%
0%
0%
View this question

Ako definujeme nákladové optimum firmy z hľadiska hraničnej produktivity a ceny vstupov?

0%
0%
0%
0%
View this question

Čo sa stane, ak podnik nemá presnú znalosť objemu výroby, ktorý je schopný predať, a napriek tomu používa najlepší spôsob zásobovania?

0%
0%
0%
0%
View this question

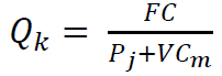
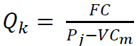
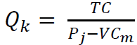
Stanovenie kritického množstva výroby Qk (kde sa náklady = výnosom) sa za predpokladu, že FC= fixné náklady, Pj= jednotková cena, VCm= merné variabilné náklady (na jednotu produkcie), TC= celkové náklady, určí ako :

0%
0%
0%
0%
0%
View this question

Prečo je dôležité používať ekologické materiály vo výrobnom procese?

0%
0%
0%
0%
View this question

Úlohou

technických cieľov zásobovania  je

zabezpečiť hmotné vstupy ?

0%
0%
0%
0%
0%
View this question

Priraďte príklad ku kategórii krátkodobého majetku:

View this question

Ktoré z uvedených etáp NIE je súčasťou procesu vývoja nových produktov?

0%
0%
0%
0%
View this question

Ktoré kritérium je najvhodnejšie pre alokáciu nákladov na údržbu výrobného zariadenia medzi jednotlivé výrobné linky?

0%
0%
0%
0%
View this question

Priraďte najvyšší orgán k danej právnej forme.

View this question

Want instant access to all verified answers on moodle.tuke.sk?

Get Unlimited Answers To Exam Questions - Install Crowdly Extension Now!

Browser

Add to Chrome