logo

Crowdly

Browser

Add to Chrome

Algoritmizácia a programovanie

Looking for Algoritmizácia a programovanie test answers and solutions? Browse our comprehensive collection of verified answers for Algoritmizácia a programovanie at moodle.tuke.sk.

Get instant access to accurate answers and detailed explanations for your course questions. Our community-driven platform helps students succeed!

Ako sa nazýva algoritmická konštrukcia na obrázku?

sekvencia

0%
100%
0%
0%
View this question

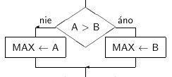
Označte správny algoritmus pre určenie maximálnej hodnoty MAX z premenných A a B.

100%
0%
0%
0%
View this question

Označte symbol vývojového diagramu pre vstup.

100%
0%
0%
0%
View this question

Označte správny algoritmus pre výpočet sumy celých čísel 1 až N.

0%
100%
0%
0%
View this question

Označte symbol vývojového diagramu pre procedúru.

0%
0%
100%
0%
View this question

Označte symbol vývojového diagramu pre výstup.

0%
0%
0%
0%
View this question

Označte neúplné vetvenie algoritmu.

100%
0%
0%
0%
View this question

Premenná X má hodnotu 4. Koľkokrát sa vykoná uvedený cyklus?

cyklus8

0%
0%
0%
0%
View this question

Označte správny algoritmus pre výpočet súčtu N položiek jednorozmerného poľa A.

0%
0%
0%
0%
View this question

Označte správny algoritmus na výpočet súčtu postupnosti reálnych čísel X, ak posledné číslo je K a patrí do postupnosti čísel.

0%
0%
0%
0%
View this question

Want instant access to all verified answers on moodle.tuke.sk?

Get Unlimited Answers To Exam Questions - Install Crowdly Extension Now!

Browser

Add to Chrome