logo

Crowdly

Browser

Add to Chrome

Algoritmizácia a programovanie

Looking for Algoritmizácia a programovanie test answers and solutions? Browse our comprehensive collection of verified answers for Algoritmizácia a programovanie at moodle.tuke.sk.

Get instant access to accurate answers and detailed explanations for your course questions. Our community-driven platform helps students succeed!

Označte správny algoritmus pre výmenu obsahu premenných A a B.

0%
0%
0%
100%
View this question

Označte správne etapy riešenia úloh na počítači.

100%
0%
0%
0%
View this question

Vývojové diagramy patria medzi algoritmické jazyky

0%
0%
0%
0%
View this question

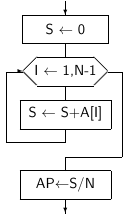
Označte správny algoritmus pre výpočet priemernej hodnoty N položiek jednorozmerného poľa A.

0%
100%
0%
0%
View this question

Označte viacnásobné vetvenie algoritmu.

0%
0%
0%
0%
View this question

Want instant access to all verified answers on moodle.tuke.sk?

Get Unlimited Answers To Exam Questions - Install Crowdly Extension Now!

Browser

Add to Chrome