logo

Crowdly

Browser

Add to Chrome

Adatstruktúrák és algoritmusok I. [H] (VEMISAB244DF/2024/25/2)

Looking for Adatstruktúrák és algoritmusok I. [H] (VEMISAB244DF/2024/25/2) test answers and solutions? Browse our comprehensive collection of verified answers for Adatstruktúrák és algoritmusok I. [H] (VEMISAB244DF/2024/25/2) at moodle.uni-pannon.hu.

Get instant access to accurate answers and detailed explanations for your course questions. Our community-driven platform helps students succeed!

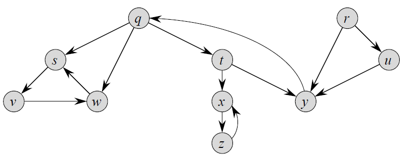
Tekintsük az alábbi gráfot:

Határozzuk meg a tanult algoritmussal az Erősen összefüggő komponenseket. Az eredményként kapott komponens-gráf hány csúcsot tartalmaz?

View this question

Tekintsük az alábbi hálózatot és az ehhez tartozó folyamot.

Legyen egy vágása a fenti hálózati folyamnak: ({s, a, b, d, e},{c, f, t}). Azaz S ={s, a, b, d, e}, T={c, f, t}.

Mennyi az (S, T) vágáshoz tartozó folyam értéke?

View this question

Egészítsd ki a kódot, hogy az az INORDER bejárást valósítsa meg egy bináris keresőfán!

void kiir_Inorder(faelem* node)

    {

        if ................................

        {

            kiir_Inorder(node->left);

            cout<<node->adat;

            kiir_Inorder(node->right);

        }

    }

0%
0%
0%
0%
0%
View this question

SZORGALMI FELADAT, MÉG NEM TANULTUK:

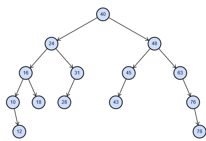
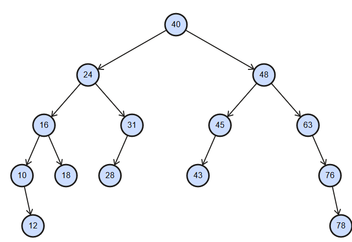
Tekintsük az alábbi bináris keresőfát. A fából töröljük a gyökérelemet (a 40-es elemet). Ezt követően a fára meghívjuk az INORDER bejárást. Mi ezen bejárás 9. eleme?

View this question

SZORGALMI FELADAT, MÉG NEM TANULTUK:

Tekintsük az alábbi bináris keresőfát. Mi a fa gyökerének (40-es elem) RÁKÖVETKEZŐ (SUCCESSOR) eleme?

View this question

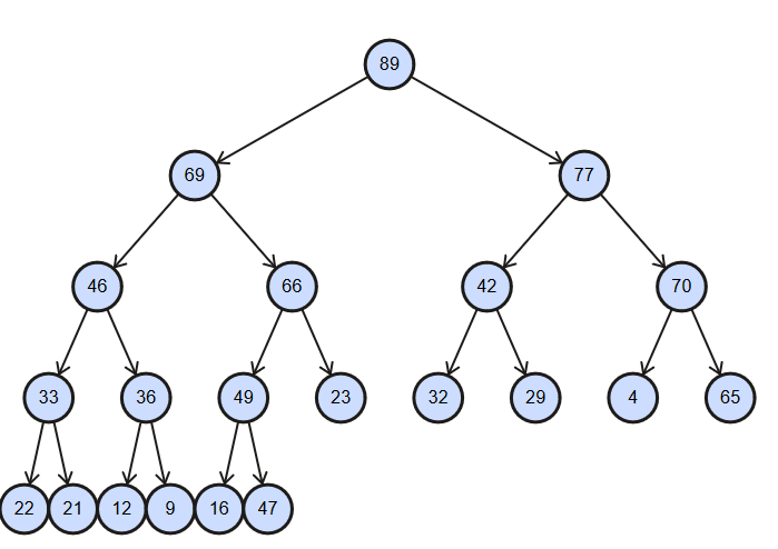
Tekintsük az alábbi bináris keresőfát. Mi a fa postorder bejárásának 10. eleme?

View this question

Döntse el, hogy igaz-e az állítás.

Az alábbi fa, bináris keresőfa:

0%
0%
View this question

Egy tetszőleges fa adatszerkezetet implementálunk szoftveresen, ahol a fa tetszőleges csomópontjára igaz, hogy tetszőleges számú (legyen ez most N darab) gyereke lehet. Tudjuk, hogy a beszúrás, keresés, törlés és listázás műveleteket szeretnénk megvalósítani ezen adatszerkezeten. Hány mutatót kell minimálisan felvennünk a fa elemeit leíró struktúrába a kulcsmezőn túl, hogy a fent nevezett műveletek megvalósíthatóak legyenek?

0%
0%
0%
0%
View this question

Egy bináris keresőfát implementálunk szoftveresen, ahol a beszúrás, keresés, törlés és listázás műveleteket szeretnénk megvalósítani. Milyen mezőket/adattagokat vegyünk fel a bináris keresőfa elemeit leíró struktúrába a kulcsmezőn túl, hogy a fent nevezett műveletek megvalósíthatóak legyenek?

0%
0%
0%
0%
0%
View this question

Egy bináris keresőfát implementálunk szoftveresen, ahol csak a beszúrás, keresés és listázás műveleteket szeretnénk megvalósítani. Milyen mezőket/adattagokat vegyünk fel minimálisan a bináris keresőfa elemeit leíró struktúrába a kulcsmezőn túl, hogy a fent nevezett műveletek biztosan megvalósíthatóak legyenek?

0%
0%
0%
0%
0%
View this question

Want instant access to all verified answers on moodle.uni-pannon.hu?

Get Unlimited Answers To Exam Questions - Install Crowdly Extension Now!

Browser

Add to Chrome