logo

Crowdly

Browser

Add to Chrome

Adatstruktúrák és algoritmusok I. [H] (VEMISAB244DF/2024/25/2)

Looking for Adatstruktúrák és algoritmusok I. [H] (VEMISAB244DF/2024/25/2) test answers and solutions? Browse our comprehensive collection of verified answers for Adatstruktúrák és algoritmusok I. [H] (VEMISAB244DF/2024/25/2) at moodle.uni-pannon.hu.

Get instant access to accurate answers and detailed explanations for your course questions. Our community-driven platform helps students succeed!

Adott egy egyirányban láncolt lista. Az alábbi függvény feladata az lesz, hogy fordítsa meg ezt a listát. Azaz, egy 1-2-3-4 listából csináljon 4-3-2-1 listát.

Mit kell a hiányzó sorba írni, hogy helyesen működjön az algoritmus, és valóban fordítsa meg a bemeneten megjelenő listát?

/* Link list node */

struct node

{

    int data;

    struct node* next;

};

  

/* head_ref a lista első elemére érvényes referencia */

static void reverse(struct node** head_ref)

{

    struct node* prev   = NULL;

    struct node* current = *head_ref;

    struct node* next;

    while (current != NULL)

    {

        next  = current->next;  

        current->next = prev;   

        prev = current;

        current = next;

    }

    A HIÁNYZÓ UTASÍTÁS HELYE -- MI KERÜLJÖN IDE????

}

0%
0%
0%
0%
0%
View this question

Adott egy kétirányban láncolt lista, amely az alábbi értékeket tartalmazza ebben a sorrendben: 1-2-3-4-5-6. Meghívjuk erre a listára az alábbi "fun" nevű eljárást, amely paraméterként az első elemre vonatkozó referenciát vesz át.

void fun(struct node **head_ref)

{

    struct node *temp = NULL;

    struct node *current = *head_ref;

  

    while (current !=  NULL)

    {

        temp = current->prev;

        current->prev = current->next;

        current->next = temp;

        current = current->prev;

    }

  

    if(temp != NULL )

        *head_ref = temp->prev;

}

Mi lesz az algoritmus után a kétirányban láncolt lista tartalma? Az eredményt egy számként add meg (pl. az 1-2-3-4-5-6 lista esetén: 123456).

View this question

Egészítsd ki a kódot, hogy az egy elem kupacba való helyes beszúrását adja meg!

HEAP-INSERT(A,key)

heap-size[A]

:=  heap-size[A]

+ 1

 i

:= heap-size[A]

while .......................................

      A[i] := A[PARENT(i)]

       i := PARENT(i)

While End

A[i]

:= key

0%
0%
0%
100%
0%
View this question

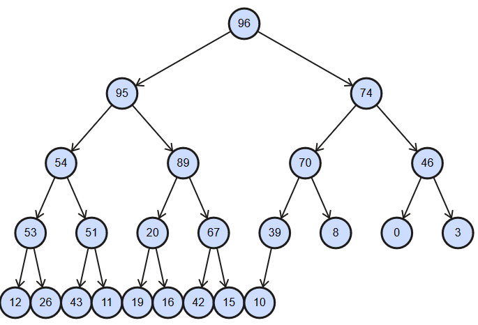
Adott

a következő kupac:

Szúrd be a fenti kupacba a 84-es értéket a

tanult algoritmus lépéseit alkalmazva, majd add meg e kupac tömb alapú reprezentációját. Mi ezen reprezentáció utolsó eleme?

View this question

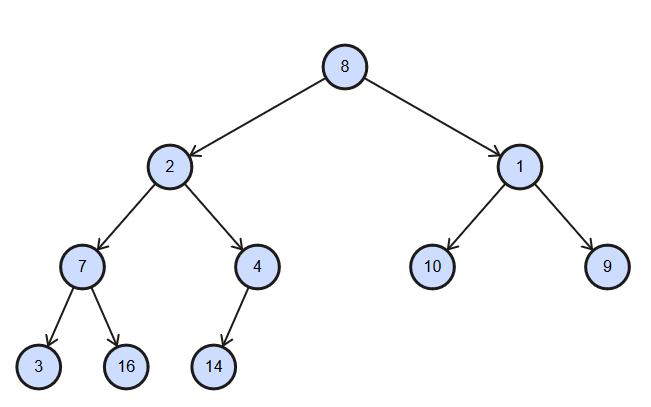
Adott

a következő számsorozatból felépített fa: 8 2 1 7 4 10 9 3 16 14.

Alakítsd kupaccá a fenti fát alkalmazva a

tanult algoritmus lépéseit, majd add meg ezen új sorozat utolsó elemét!

View this question

Kupac-e a következő sorozat: 18, 16, 12, 10, 9, 11, 5, 4, 6, 3.

0%
100%
View this question

Döntse el, hogy igaz-e az állítás.

Az alábbi fa, kupac:

0%
100%
View this question

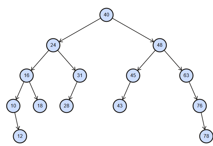
Tekintsük az alábbi bináris keresőfát. A fából töröljük a gyökérelemet (a 40-es elemet). Ezt követően a fára meghívjuk az INORDER bejárást. Mi ezen bejárás 9. eleme?

View this question

Tekintsük az alábbi bináris keresőfát. Mi a fa gyökerének (40-es elem) RÁKÖVETKEZŐ (SUCCESSOR) eleme?

View this question

Alább egy pszeudokód található, amelynek feladata meghatározni, hogy a bemeneten bejelenő zárójelsorozat (csak nyitó és záró zárójel karakterek érkezhetnek) megfelelő szintaktikájú-e, azaz minden nyitó zárójelnek megvan a bezáró zárójel párja.

Jelöld be a helyes választ!

0%
0%
View this question

Want instant access to all verified answers on moodle.uni-pannon.hu?

Get Unlimited Answers To Exam Questions - Install Crowdly Extension Now!

Browser

Add to Chrome