logo

Crowdly

Browser

Add to Chrome

MATH291 (DB425) Advanced Engineering Mathematics

Looking for MATH291 (DB425) Advanced Engineering Mathematics test answers and solutions? Browse our comprehensive collection of verified answers for MATH291 (DB425) Advanced Engineering Mathematics at moodle.uowplatform.edu.au.

Get instant access to accurate answers and detailed explanations for your course questions. Our community-driven platform helps students succeed!

Solve the problem.

Find the center of mass of a thin triangular plate bounded by the coordinate axes and the line x + y = 3 if the density function is δ(x, y) = x + y.
0%
0%
0%
View this question
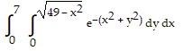
Change the Cartesian integral to an equivalent polar integral, and then evaluate.

integral of (integral of ((e) with superscript (-((x) with superscript (2) + (y) with superscript (2))) dy dx) from (0) to (square root of (49 - (x) with superscript (2)))) from ( 0) to (7)
0%
0%
0%
0%
View this question
(Please , ignore this question) Express the area of the region bounded by the given line(s) and/or curve(s) as an iterated double integral.

The curve y = (e) with superscript (x) and the lines x + y = 6 and x = 6
0%
0%
0%
0%
View this question
Find the volume of the indicated region.

the region that lies under the plane z = 2x + 8y and over the triangle bounded by the lines y = x, y = 2x, and x + y = 6
0%
0%
0%
0%
View this question
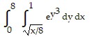
Reverse the order of integration and then evaluate the integral.

integral of (integral of ((e) with superscript ((y) with superscript (3)) dy dx) from (square root of (x/8)) to (1)) from ( 0) to (8)
0%
0%
0%
View this question
Reverse the order of integration and then evaluate the integral.

integral of (integral of ((cos x/x) dx dy) from (y/2) to (9)) from ( 0 ) to (18)
0%
0%
0%
0%
View this question
Integrate the function f over the given region.

f(x, y) = (x/3) + (y/6) over the trapezoidal region bounded by the x-axis, y-axis, line x = 3, and line y = - (1/3)x + 7
0%
0%
0%
View this question
Evaluate the integral.

integral of (integral of ((e) with superscript (y) dy dx) from ( 0) to (ln x)) from ( 1) to (8)
0%
0%
0%
0%
View this question
Evaluate the integral.

integral of (integral of (x dy dx) from (0) to (25 - (x) with superscript (2))) from ( 0) to (5)
0%
0%
0%
View this question
Evaluate the double integral over the given region.

indefinite integral of (integral of ((x + (x) with superscript (2)(y) with superscript (4) - 3) dA,) from ( R) to ( )) R: 0 ≤ x ≤ 1, 0 ≤ y ≤ 2
0%
0%
0%
View this question

Want instant access to all verified answers on moodle.uowplatform.edu.au?

Get Unlimited Answers To Exam Questions - Install Crowdly Extension Now!

Browser

Add to Chrome