logo

Crowdly

Browser

Add to Chrome

Algoritmid ja andmestruktuurid (LTAT.03.005)

Looking for Algoritmid ja andmestruktuurid (LTAT.03.005) test answers and solutions? Browse our comprehensive collection of verified answers for Algoritmid ja andmestruktuurid (LTAT.03.005) at moodle.ut.ee.

Get instant access to accurate answers and detailed explanations for your course questions. Our community-driven platform helps students succeed!

// <![CDATA[

var ulObj = new Object();

ulObj.objektityyp = "sorteerimismeetoditest";

ulObj.tyyp = "<b>parima juhu</b>";

ulObj.keerukus = teeta() + "(n log n)";

ulObj.kasEeldused = true;

ulObj.eeldused = "meetodid on realiseeritud leheküljel <a href='http://www.sorting-algorithms.com' target='_blank'>http://www.sorting-algorithms.com</a> toodud algoritmidega (kiirmeetodist kolmeharuline variant)"

document.write(hinnangule_vastav(ulObj));

// ]]>

Millised järgnevatest sorteerimismeetoditest on parima juhu ajalise keerukusega Θ(n log n)? Eeldada, et meetodid on realiseeritud leheküljel http://www.sorting-algorithms.com toodud algoritmidega (kiirmeetodist kolmeharuline variant).

Märgi kõik sobivad vastused.

0%
0%
0%
0%
View this question

Reas seisab üksteise kõrval n õpilast. Päevapiltnik soovib üles pildistada kõikvõimalikud nendest õpilastest moodustatud osarivid (mingi arv järjest kõrvutiseisvaid õpilasi). Näiteks õpilaste rivi [a1, a2, a3, a4] korral saab moodustada osarivisid [a1], [a1, a2], [a1, a2, a3], [a1, a2, a3, a4], [a2], [a2, a3], [a2, a3, a4], [a3], [a3, a4] ja [a4]. Teada on, et ühe pildi tegemise ajaline keerukus on konstantne. Milline on kõikide osarivide piltide tegemise ajaline kogukeerukus kujul Θ(f(n))?

0%
0%
0%
0%
0%
0%
0%
View this question

// <![CDATA[

var ulObj = new Object();

ulObj.tegevus = "lahutamise";

document.write(tookiirus_kasitsi_teeta(ulObj));

// ]]>

Milline on kahe n numbrist koosneva arvu käsitsi lahutamise tavaalgoritmi ajaline keerukus kujul Θ(f(n))?

0%
0%
0%
0%
0%
0%
View this question

Juku kasutab juhuslike elementidega järjendi [a1, . . . , an] järjestamiseks järgmist algoritmi. Kõigepealt järjestatakse kiirmeetodil ühelemendiline alamjärjend [a1], seejärel järjestatakse samal meetodil alamjärjend [a1, a2], siis alamjärjend [a1, a2, a3] jne kuni lõpuks samuti kiirmeetodil alamjärjend [a1, . . . , an]. Seejuures valitakse lahkmeks alati järjestatava järjendiosa esimene element. Milline on Juku järjestamisalgoritmi ajaline keerukus kujul Θ(f(n))?

0%
50%
0%
0%
0%
0%
View this question

// <![CDATA[

var ulObj = new Object();

ulObj.tn = "(n<sup>2</sup> + 1)<sup>10</sup>";

document.write(tookiirus(ulObj));

// ]]>

Algoritmi töökiiruse sõltuvust sisendi suurusest väljendab funktsioon T(n) = (n2 + 1)10. Millistesse keerukusklassidesse see kuulub?

Vali kõik sobivad vastused.

0%
0%
0%
0%
0%
0%
0%
0%
0%
0%
0%
0%
0%
View this question

Definitsioon.

Olgu f ja g naturaalarvuliste argumentidega

funktsioonid. Siis f on O(g), kui leiduvad c > 0 ja N > 0 nii, et

|f(n)| < c|g(n)| iga n > N korral.

Olgu

  • f(n) = 3n + 11
  • g(n) = n

Kas nende funktsioonide puhul kehtib lause „f on O(g)”?

Vali kõik

sobivad variandid.

0%
0%
0%
0%
View this question

Definitsioon.

Olgu f ja g naturaalarvuliste argumentidega

funktsioonid. Siis f on O(g), kui leiduvad c > 0 ja N > 0 nii, et

|f(n)| < c|g(n)| iga n > N korral.

Olgu

  • f(n) = 4n + 8
  • g(n) = n2

Kas nende funktsioonide puhul kehtib lause „f on O(g)”?

Vali kõik

sobivad variandid.

0%
0%
View this question
View this question

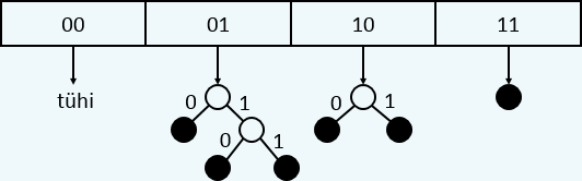
Paisktabelisse pikkusega 4 paigutatakse elemente paiskfunktsiooni h(k) =

k mod 4 abil. Sama võtmeväärtusega elemendid organiseeritakse

kahendpuuna järgmisel viisil.

Kahendpuu esimesel tasemel määratakse elemendi lõpust lugedes 3. bitt

ning vastavalt selle väärtusele 0 või 1 suunatakse element kas vasakusse

või paremasse harusse. Kahendpuu teisel tasemel leitakse elemendi lõpust

lugedes 4. bitt ning analoogiliselt valitakse vasak või parem haru jne.

Haru jaotatakse kaheks ainult siis, kui seda on vaja.

Milline järgmisest elementide lisamiste jadadest annab tulemuseks

sellise struktuuriga paisktabeli?

0%
0%
0%
0%
View this question
View this question

Want instant access to all verified answers on moodle.ut.ee?

Get Unlimited Answers To Exam Questions - Install Crowdly Extension Now!

Browser

Add to Chrome