logo

Crowdly

Browser

Add to Chrome

Algoritmid ja andmestruktuurid (LTAT.03.005)

Looking for Algoritmid ja andmestruktuurid (LTAT.03.005) test answers and solutions? Browse our comprehensive collection of verified answers for Algoritmid ja andmestruktuurid (LTAT.03.005) at moodle.ut.ee.

Get instant access to accurate answers and detailed explanations for your course questions. Our community-driven platform helps students succeed!

Paiskfunktsioon seab igale elemendile vastavusse ühtlase jaotusega

16-bitise täisarvu piirides 0 . . . 2

16−1.

Vähemalt mitu elementi tuleb lisada tühja paisktabelisse, et tõenäosusega üle 50% tekiks mõnel lisamisel põrge?

Vastus:

Vihje.

Vaata Vikipeedia artikleid

sünnipäevaprobleemi ja sünnipäevaründe

kohta.

View this question
View this question

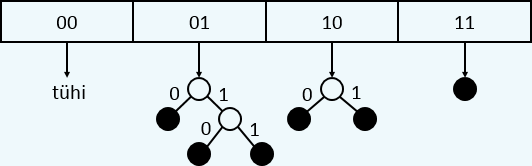
Paisktabelisse pikkusega 4 paigutatakse elemente paiskfunktsiooni h(k) =

k mod 4 abil. Sama võtmeväärtusega elemendid organiseeritakse

kahendpuuna järgmisel viisil.

Kahendpuu esimesel tasemel määratakse elemendi lõpust lugedes 3. bitt

ning vastavalt selle väärtusele 0 või 1 suunatakse element kas vasakusse

või paremasse harusse. Kahendpuu teisel tasemel leitakse elemendi lõpust

lugedes 4. bitt ning analoogiliselt valitakse vasak või parem haru jne.

Haru jaotatakse kaheks ainult siis, kui seda on vaja.

Milline järgmisest elementide lisamiste jadadest annab tulemuseks

sellise struktuuriga paisktabeli?

0%
0%
0%
0%
View this question
View this question

Plaadimasin esitab juhuslikult lugusid oma mälus oleva 4000 loo seast.

Sama lugu võib valida korduvalt.

Vähemalt mitu järjestikust lugu peab kuulama, et tõenäosus kuulda mõnda

lugu teist korda oleks üle 50%?

Vastus:

Vihje.

Vaata Vikipeedia artikleid

sünnipäevaprobleemi ja sünnipäevaründe

kohta.

View this question
View this question

Milline järgnevatest paiskfunktsioonidest jaotab täisarve, mis muutuvad

0-st 999-ni, kõige ühtlasemalt kümnesse kimpu numbritega 0 kuni 9?

0%
0%
0%
View this question

Paljud Java klassid sisaldavad meetodit hashCode()

, mille ülesanne on

seada objektile vastavusse teda identifitseeriv täisarv ehk räsi.

Objekti räsi peaks olema kiiresti väljaarvutatav ning tõenäosus, et

erinevate objektide räsid kokku langevad, peaks olema võimalikult väike.

Meetodi

hashCode() saab lisada ka ise loodavatele klassidele.

Vaatleme klassi

class Isik {

private String nimi;

private int vanus;

private int pikkus;

public int hashCode() {

return /* ... */;

}

}

Märgi kõik laused, mis sobivad hästi meetodi hashCode() sisuks.

0%
0%
0%
0%
View this question
View this question
View this question

Want instant access to all verified answers on moodle.ut.ee?

Get Unlimited Answers To Exam Questions - Install Crowdly Extension Now!

Browser

Add to Chrome