logo

Crowdly

Browser

Add to Chrome

Algoritmid ja andmestruktuurid (LTAT.03.005)

Looking for Algoritmid ja andmestruktuurid (LTAT.03.005) test answers and solutions? Browse our comprehensive collection of verified answers for Algoritmid ja andmestruktuurid (LTAT.03.005) at moodle.ut.ee.

Get instant access to accurate answers and detailed explanations for your course questions. Our community-driven platform helps students succeed!

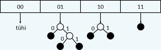
Paisktabelisse pikkusega 4 paigutatakse elemente paiskfunktsiooni h(k) =

k mod 4 abil. Sama võtmeväärtusega elemendid organiseeritakse

kahendpuuna järgmisel viisil.

Kahendpuu esimesel tasemel määratakse elemendi lõpust lugedes 3. bitt

ning vastavalt selle väärtusele 0 või 1 suunatakse element kas vasakusse

või paremasse harusse. Kahendpuu teisel tasemel leitakse elemendi lõpust

lugedes 4. bitt ning analoogiliselt valitakse vasak või parem haru jne.

Haru jaotatakse kaheks ainult siis, kui seda on vaja.

Milline järgmisest elementide lisamiste jadadest annab tulemuseks

sellise struktuuriga paisktabeli?

0%
0%
0%
0%
View this question
View this question

Välisahelatega paisktabel peab mahutama kuni N elementi.

Milline alltoodutest oleks kõige sobivam paisktabeli pikkus M?

0%
0%
0%
0%
0%
View this question
View this question

Lahtise adresseerimisega paisktabel peab mahutama kuni N elementi.

Milline alltoodutest oleks kõige sobivam paisktabeli pikkus M?

0%
0%
0%
View this question

Massiiv sisaldab kahemõõtmelise ruumi punkte. Punktidel on defineeritud

järjestus, mis võrdleb punkte x-koordinaadi järgi ja võrdse tulemuse

korral võtab arvesse y-koordinaadi. Oletame, et me tahame leida ja

eemaldada duplikaadid.

Märgi kõik sortimisstrateegiad, mis selleks sobivad.

View this question

Arvutimuuseumis on eksponaadiks magnetlindil andmeid hoidev seade.

Magnetlinti saab edasi liigutada nii, et korraga on võimalik töödelda

(võrrelda ja vahetada) kahte kõrvutiasuvat andmekirjet. Veel on võimalik

täiesti algusesse või lõppu kerimine.

Milline sortimismeetod sobib sellise seadmega andmete töötlemiseks?

0%
0%
View this question

Olgu teada sisendmassiiv ja mõned massiivi seisundid sortimise

jooksul:

[6, 8, 9, 7, 8, 5, 6, 1]

[8, 8, 6, 7, 1, 5, 6, 9]

[8, 7, 6, 6, 1, 5, 8, 9]

[6, 5, 1, 6, 7, 8, 8, 9]

[1, 5, 6, 6, 7, 8, 8, 9]

Millist sortimismeetodit on kasutatud?

0%
0%
0%
0%
0%
View this question

Olgu programmi sisendiks N sõna pikkusega 20 tähemärki. Rakendame

teatavat sortimismeetodit ja testime programmi tööaega erineva pikkusega

sisendite puhul.

Millistel juhtudel saab püsitada hüpoteesi, et tegu on pistemeetodiga?

0%
0%
View this question

Millist tüüpi järjendi sortimisel teeb kuhjameetod kõige vähem tööd?

0%
0%
0%
0%
View this question

Want instant access to all verified answers on moodle.ut.ee?

Get Unlimited Answers To Exam Questions - Install Crowdly Extension Now!

Browser

Add to Chrome