logo

Crowdly

Browser

Add to Chrome

Programų sistemų inžinerijos pagrindai (FMF)

Looking for Programų sistemų inžinerijos pagrindai (FMF) test answers and solutions? Browse our comprehensive collection of verified answers for Programų sistemų inžinerijos pagrindai (FMF) at moodle.vilniustech.lt.

Get instant access to accurate answers and detailed explanations for your course questions. Our community-driven platform helps students succeed!

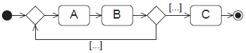
Ar pateikta UML veiklos diagrama yra teisinga ir kodėl?

View this question

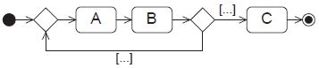
Ar pateikta UML veiklos diagrama yra teisinga ir kodėl?

View this question

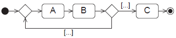
Ar pateikta UML veiklos diagrama yra teisinga ir kodėl?

View this question

Remdamiesi savo patirtimi mokykloje ir universitete, sukurkite Personą gimnazijos gamtos mokslų mokytojui, kuris domisi paprastomis PS ir jų panaudojimu mokant klasėje mokinius.

View this question

Aprašykite 4 naudotojų istorijas savo pasirinktai kuriamai PS pagal pasirinktą šabloną. Jos turi derėti su aprašytomis Personomis ir scenarijais.

View this question

Aprašykite 4 Jūsų pasirinktos/kūriamos PS savybes. Jos turi derėti su aprašytomis Personomis, scenarijais ir naudotojų istorijomis.

View this question

Savo pasirinktai/kuriamai PS sukurkite du skirtingus scenarijus. Jie turi būti suderinami su kurtomis Personomis.

View this question

Savo pasirinktai/kūriamai PS sukurkite dvi skirtingas Personas. Jų skirtumas turi būti amžiaus, lyties, technologijų ir išsilavinimo pagal Jūsų pasirinkimą, kad tai atitiktų realybę.

View this question

Kas yra artifaktas?

0%
0%
0%
0%
0%
View this question

Kas yra mazgas?

View this question

Want instant access to all verified answers on moodle.vilniustech.lt?

Get Unlimited Answers To Exam Questions - Install Crowdly Extension Now!

Browser

Add to Chrome