logo

Crowdly

Browser

Add to Chrome

Programų sistemų inžinerijos pagrindai (FMF)

Looking for Programų sistemų inžinerijos pagrindai (FMF) test answers and solutions? Browse our comprehensive collection of verified answers for Programų sistemų inžinerijos pagrindai (FMF) at moodle.vilniustech.lt.

Get instant access to accurate answers and detailed explanations for your course questions. Our community-driven platform helps students succeed!

Pažymėkite UML Aktorius.

View this question

Kuris iš žemiau pateiktų apibrėžimų tiksliausiai apibūdina aktoriaus sąvoką?

View this question

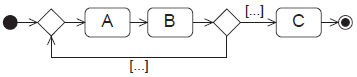
Ar pateikta UML veiklos diagrama yra teisinga ir kodėl?

View this question

Kurie teiginiai apie veiklas UML veiklos daigramose yra teisingi?

View this question

Kuris teiginys apie sinchroninius ir asinchroninius pranešimus UML sekų diagarmose yra teisingas?

View this question

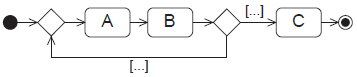
Ar pateikta UML veiklos diagrama yra teisinga ir kodėl?

View this question

Yra pateikta tokia UML sekų diagrama. Kuri seka pranešimų yra teisinga?

Image failed to load: traces2a.png

View this question

Kokio tipo elementai pateikti paveiksluose?

View this question

Kaip sekų diagramose gali būti aprašomi sąveikos taškai?

View this question

Ką sekų diagramoje reiškia sinchroninis pranešimas?

View this question

Want instant access to all verified answers on moodle.vilniustech.lt?

Get Unlimited Answers To Exam Questions - Install Crowdly Extension Now!

Browser

Add to Chrome