logo

Crowdly

Browser

Add to Chrome

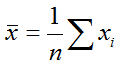
БІОМЕТРІЯ (д.ф.н.)

Looking for БІОМЕТРІЯ (д.ф.н.) test answers and solutions? Browse our comprehensive collection of verified answers for БІОМЕТРІЯ (д.ф.н.) at moodle.vnu.edu.ua.

Get instant access to accurate answers and detailed explanations for your course questions. Our community-driven platform helps students succeed!

При написанні начотних рядів вкажіть, яке число буде у жовтій клітинці?

View this question

хі - це центральне значення класу:

100%
0%
View this question

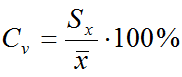
Ця формула використовується в методі добутків?

100%
0%
View this question

При підрахунку моди чому дорівнює  f3 ?

View this question

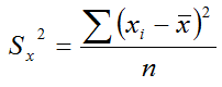
Формула дисперсії (зміщеної):

View this question

У формулі  означає 

центральний

момент першого порядку ?

0%
0%
View this question

 - це частота варіант ?

0%
0%
View this question

Чому дорівнює а1 ?

View this question

Want instant access to all verified answers on moodle.vnu.edu.ua?

Get Unlimited Answers To Exam Questions - Install Crowdly Extension Now!

Browser

Add to Chrome