logo

Crowdly

Browser

Add to Chrome

БІОМЕТРІЯ (д.ф.н.)

Looking for БІОМЕТРІЯ (д.ф.н.) test answers and solutions? Browse our comprehensive collection of verified answers for БІОМЕТРІЯ (д.ф.н.) at moodle.vnu.edu.ua.

Get instant access to accurate answers and detailed explanations for your course questions. Our community-driven platform helps students succeed!

Це формула біноміальної ймовірності?

0%
0%
View this question

Якщо скінчений простір ймовірностей S розбито на підмножини S1, S2, ..., Sn, що не перетинаються, то для будь-якої події E в S є правильною формула:

де k=1, 2, , n (k ціле додатне число).

Це теорема Байєса?

100%
0%
View this question

Якщо f (3,  2,  0,33), то чому дорівнює число випробувань?

View this question

Якщо f (5,  3,  0,55), то чому дорівнює ймовірність успіху ?

View this question

Якщо  (3, 1, 0,05), 

то чому дорівнює біноміальний коефіцієнт?

View this question

Вкажіть значення у виділеній комірці.

View this question

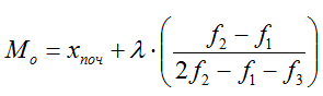
Це формула моди?

100%
0%
View this question

Чому дорівнює  умовна середня ? 

View this question

формула застосовується у методі (методах):

View this question

При підрахунку медіани чому дорівнює ?

View this question

Want instant access to all verified answers on moodle.vnu.edu.ua?

Get Unlimited Answers To Exam Questions - Install Crowdly Extension Now!

Browser

Add to Chrome