logo

Crowdly

Browser

Add to Chrome

Алгоритми та структури даних (ІПЗ)

Looking for Алгоритми та структури даних (ІПЗ) test answers and solutions? Browse our comprehensive collection of verified answers for Алгоритми та структури даних (ІПЗ) at moodle.zp.edu.ua.

Get instant access to accurate answers and detailed explanations for your course questions. Our community-driven platform helps students succeed!

Яка оцінка відповідає складності наступної функції?

void fun(int n, int arr[])

{

    int i = 0, j = 0;

    for(; i < n; ++i)

        while(j < n && arr[i] < arr[j])

            j++;

}

0%
0%
0%
0%
0%
0%
View this question

Яка максимальна кількість покажчиків у вузлах двонаправленого зв'язаного списку може містити значення NULL?

0%
0%
0%
0%
0%
0%
View this question

Яка властивість вирізняє дерева серед графів?

0%
0%
0%
0%
0%
0%
View this question

Яка з наступних геш-функцій ускладнює підбір ключів для гешування?

0%
0%
0%
0%
0%
0%
View this question

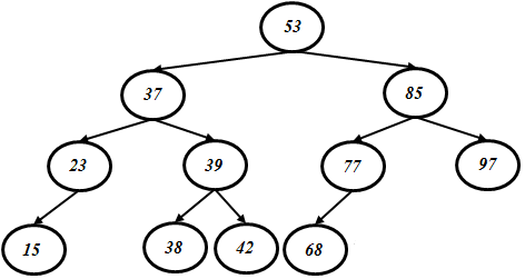
Виконати обхід зображеного нижче бінарного дерева пошуку в прямому порядку.

View this question

Яку процедуру використовує алгоритм пірамідального сортування?

0%
0%
0%
0%
0%
0%
View this question

Яка асимптотична оцінка відповідає функції f(n) = 5n2?

0%
0%
0%
0%
0%
View this question

До якого класу алгоритмів за трудомісткістю належить алгоритм множення матриці на вектор?

0%
0%
0%
0%
0%
0%
View this question

Розв'язання задачі шляхом виконання вибору та подальшого розв'язання однієї підзадачі реалізується в...

0%
0%
0%
0%
0%
0%
View this question

Яким чином отримати мінімальне значення в бінарному дереві пошуку?

0%
0%
0%
0%
0%
0%
View this question

Want instant access to all verified answers on moodle.zp.edu.ua?

Get Unlimited Answers To Exam Questions - Install Crowdly Extension Now!

Browser

Add to Chrome