logo

Crowdly

Browser

Add to Chrome

Mätteknik (2025)

Looking for Mätteknik (2025) test answers and solutions? Browse our comprehensive collection of verified answers for Mätteknik (2025) at moodlecourses.novia.fi.

Get instant access to accurate answers and detailed explanations for your course questions. Our community-driven platform helps students succeed!

Varför

skapar man referenssystem = koordinatsystem

uppriktade enligt mätobjekt då man utför mätningar i koordinatmätmaskin?

0%
0%
0%
View this question

Hur

borde detaljer måttsättas för att möjligast väl lämpa sig för mätning i koordinatmätmaskin?

0%
0%
0%
0%
View this question

Vad är viktigt att tänka på när man förbereder ett objekt för mätning med en koordinatmätmaskin?

0%
0%
0%
View this question

Varför skall man kontrollera koordinatmätmaskinens inställning med passbitar?

0%
0%
0%
View this question

Varför

är radiekompensering nödvändig vid sfärisk avkännarspets?

0%
0%
0%
View this question

Vid

vilka typer av mätning är det fördelaktigt att använda sig av koordinatmätmaskin

i stället för konventionella mätdon?

100%
0%
0%
View this question

Referenselement är specifika delar av en detalj som används som en hänvisning för mätning eller tolkning av andra dimensioner eller geometriska egenskaper.

100%
0%
View this question

Hur

kan man gå till väga vid mätning · om referenselementet har stora formfel?

0%
0%
100%
View this question

Varför

är det vid måttsättning ofta befogat att utom dimensionstoleranser sätta ut

även form-och lägetoleranser?

0%
0%
0%
View this question

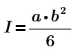
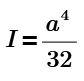
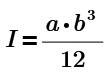
Hur bestäms tröghetsmoment för flatstål? 

100%
0%
0%
View this question

Want instant access to all verified answers on moodlecourses.novia.fi?

Get Unlimited Answers To Exam Questions - Install Crowdly Extension Now!

Browser

Add to Chrome