logo

Crowdly

Browser

Add to Chrome

Mätteknik (2025)

Looking for Mätteknik (2025) test answers and solutions? Browse our comprehensive collection of verified answers for Mätteknik (2025) at moodlecourses.novia.fi.

Get instant access to accurate answers and detailed explanations for your course questions. Our community-driven platform helps students succeed!

Vilken riktning kan följande stöd ta upp krafter?

0%
100%
0%
View this question
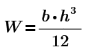
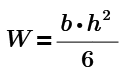
Hur bestäms böjmotstånd för flatstål?
0%
0%
100%
View this question

Hur

definieras Ry? (Enl. kompendiet eller standard)?

0%
0%
View this question

Hur

definieras Ra? (Enl. kompendiet eller standard)?

0%
100%
View this question

Vilka

är mätsektionens standardlängder? (Maskinritning eller standard)?

0%
0%
0%
0%
0%
0%
View this question

Vilka toleransklasser används för metriska gängor?

0%
0%
0%
0%
View this question

Hur defineras en 8 mm skruv med avstånd mellan gängtopparna P = 1.5 mm?

100%
0%
0%
View this question

Hur definieras en gängas medelstigningsvinkel?

0%
0%
View this question

Referenselement indelas i:

0%
0%
0%
0%
0%
View this question
Passbitar används för att verifiera att ett mätdon visar rätt värde inom ett specifikt intervall.
0%
0%
View this question

Want instant access to all verified answers on moodlecourses.novia.fi?

Get Unlimited Answers To Exam Questions - Install Crowdly Extension Now!

Browser

Add to Chrome